高考数学压轴题3--数列
1、观察分析下面的题目,充分理解题意。

2、分析第一小题,整理思路,找出解题方向。

3、根据分析进行求解。

4、分析第二小题,简化题目,使证明思路清晰化。

5、根据理好的思路,系统进行证明。

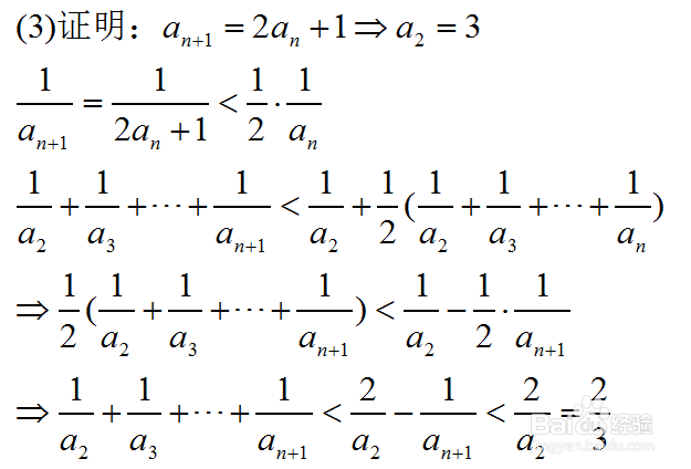
6、分析第三小题,提取题目条件,找到缩放规律,可以多试几种缩放方法,进而达到证明题目的结果。

声明:本网站引用、摘录或转载内容仅供网站访问者交流或参考,不代表本站立场,如存在版权或非法内容,请联系站长删除,联系邮箱:site.kefu@qq.com。
阅读量:175
阅读量:106
阅读量:168
阅读量:75
阅读量:193