2019年高中数学复习必备——解析几何
1、解析几何:解析几何综合问题(椭圆或抛物线)及基本解答策略+圆锥曲线的定义和几何性质+直线与圆+极坐标、参数方程+线性规划
1、圆锥曲线综合问题的解答策略:
核心量的选择:
常见的几何关系与几何特征的代数化:
①线段的中点:坐标公式
②线段的长:弦长公式;解三角形
③三角形面积:底×高,正弦定理面积公式
④夹角:向量夹角;两角差正切;余弦定理;正弦定理面积公式
⑤面积之比,线段之比:面积比转化为线段比,线段比转化为坐标差之比
⑥三点共线:利用向量或相似转化为坐标差之比
⑦垂直平分:两直线垂直的条件及中点坐标公式
⑧点关于直线的对称,点关于点,直线关于直线对称
⑨直线与圆的位置关系
⑩等腰三角形,平行四边形,菱形,矩形,正方形,圆等图形的特征
代数运算:设参、消参重视基本解题思路的归纳与整理但不要模式化,学会把不同类型的几何问题转化成代数形式.

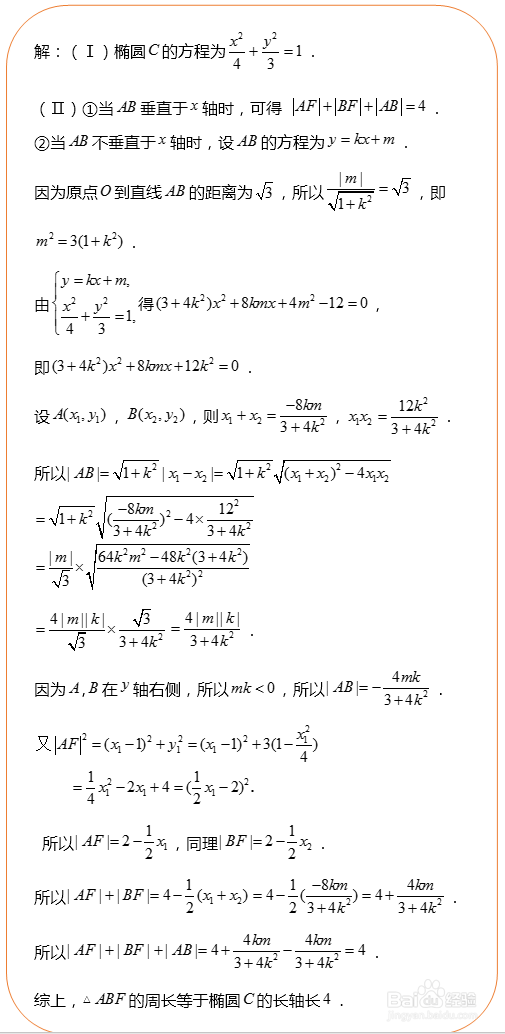
1

2

3

4

5

6

7

8

1

2

3

4、好了, 2019年高中数学复习必备——解析几何习题解题今天分享就到这里了,需要更多技巧视频教程请留言或者私信,每天给大家持续更新文章,大家多多关注。
声明:本网站引用、摘录或转载内容仅供网站访问者交流或参考,不代表本站立场,如存在版权或非法内容,请联系站长删除,联系邮箱:site.kefu@qq.com。
阅读量:107
阅读量:147
阅读量:131
阅读量:28
阅读量:111