如何用Excel求解“3N +1”问题
1、利用INT 或MOD 函数判断一个数是否为偶数,利用IF 函数设置两个不同的分支,通过公式填充产生新数。
利用Excel 软件,可以方便地对指定的整数验证“3N +1”问题(猜想)。利用Excel 软件对指定的整数,验证“3N +1”问题(猜想)。
1、1. 打开Excel 2016,新建一个新的工作表,在A1 单元格内任意输入一个整数,如35。 如下图所示:

2、2. 在A2 单元格输入“=IF(A1/2=INT(A1/2),A1/2,(3*A1+1)/2)”。

3、将以上制作的文件以“如何用Excel求解“3N +1”问题.xlsx”保存。以上文件若将填充句柄横向填充,可一次对多个任意整数验证“3N +1”猜想。如下图所示:

4、4.选定A2 单元格,利用填充句柄向下填充,观察A2 单元格所在列以下各行单元格内数值变化情况。若某一行出现“1”,则表明3N +1猜想对该数成立。选定B2单元格,利用填充句柄向下填充,C2,D2,E2,F,2,G2……Q2单元格操作也一样,其操作结果如下图所示:




5、5.利用“如何用Excel求解“3N +1”问题.xlsx”文件,一次对多个任意整数验证“3N +1”猜想,并记录保存。如下图所示:

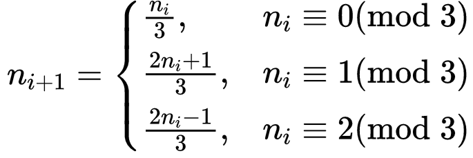
1、将一个自然数ni 按以下方法形成一个新数ni+1 ,当ni ≡ 0 (mod3) 时将它除以3;当ni ≡1(mod3)时将它乘以2 再加1,然后除以3;当ni ≡ 2 (mod3)时将它乘以2 再减1,然后除以3。即

声明:本网站引用、摘录或转载内容仅供网站访问者交流或参考,不代表本站立场,如存在版权或非法内容,请联系站长删除,联系邮箱:site.kefu@qq.com。
阅读量:183
阅读量:64
阅读量:142
阅读量:164
阅读量:116