小度生活
首页
美食营养
手工爱好
生活家居
返回
小度生活
首页
美食营养
游戏数码
手工爱好
生活家居
健康养生
运动户外
职场理财
情感交际
母婴教育
时尚美容
知识问答
生活知识
生活百科
搜索
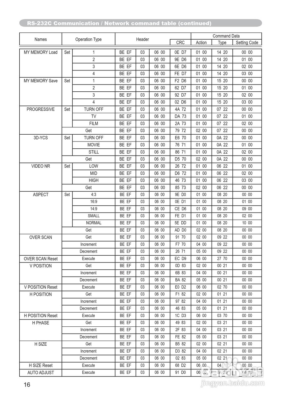
日立 CP-X807投影机说明书:[24]
2026-03-28 17:37:30
本篇为《日立 CP-X807投影机说明书》,主要介绍该产品的使用方法以及常见故障解决方案。
(共篇)
上一篇:
声明:
本网站引用、摘录或转载内容仅供网站访问者交流或参考,不代表本站立场,如存在版权或非法内容,请联系站长删除,联系邮箱:site.kefu@qq.com。
相关推荐
日立 CP-X807投影机说明书:[14]
阅读量:134
日立 CP-X807投影机说明书:[11]
阅读量:27
投影机怎样连接使用
阅读量:130
投影机ip设置
阅读量:49
投影机的安装与调试
阅读量:135
猜你喜欢
信用卡利息怎么算
孙权怎么死的
怎么吹泡泡糖
神经衰弱失眠怎么办
微信语音没声音怎么回事
土豆泥怎么做
窦性心动过缓怎么办
脚后跟疼是怎么回事
梭子蟹怎么做
qq电子邮箱格式怎么写
猜你喜欢
手机怎么连接打印机
tuesday怎么读
怎么戒烟最有效
转账支票怎么填写
阚清子怎么读音
梦幻西游怎么赚人民币
我爱你日语怎么说
可瑞康羊奶粉怎么样
总结怎么写
牙龈疼怎么办