0.51÷0.22的竖式怎么列
1、如图,先列出竖式

2、按除法计算方法,可得2

3、2x0.22得0.44

4、竖式计算得0.51-0.44等于0.07,即0.51÷0.22=2余0.07

5、或者可以换一种计算方法,即转换为分数表示
6、如图,将小数转换为分数列式为

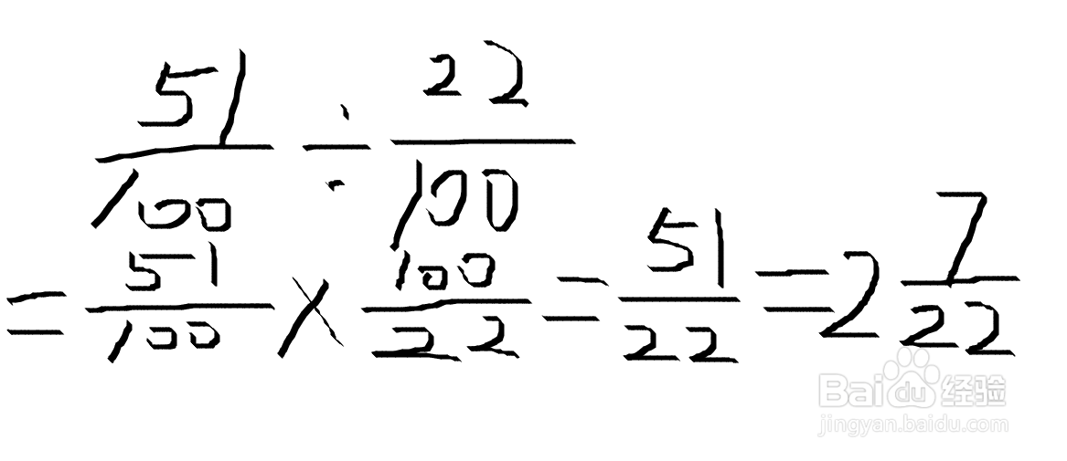
1、根据分数除法计算方法,可转换为乘法,如图

2、转换为乘法后得到22分之51

3、简化后得到结果为2又22分之7

声明:本网站引用、摘录或转载内容仅供网站访问者交流或参考,不代表本站立场,如存在版权或非法内容,请联系站长删除,联系邮箱:site.kefu@qq.com。