小度生活
首页
美食营养
手工爱好
生活家居
返回
小度生活
首页
美食营养
游戏数码
手工爱好
生活家居
健康养生
运动户外
职场理财
情感交际
母婴教育
时尚美容
知识问答
生活知识
生活百科
搜索
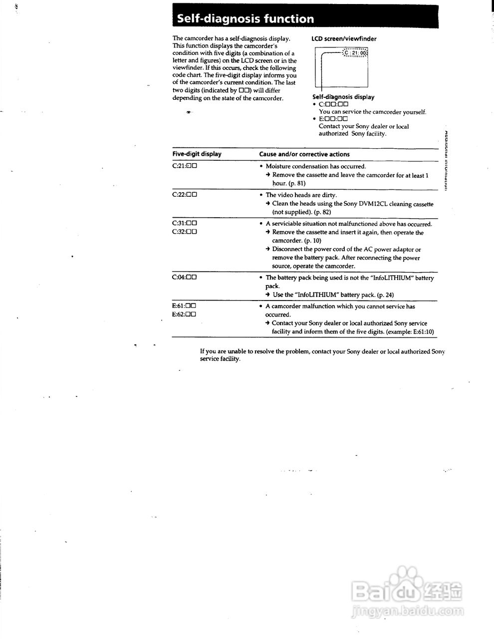
索尼DCR-PC1数码摄像机说明书:[10]
2026-05-06 09:35:59
本篇为《索尼DCR-PC1数码摄像机说明书》,主要介绍该产品的使用方法以及常见故障解决方案。
(共篇)
上一篇:
|
下一篇:
声明:
本网站引用、摘录或转载内容仅供网站访问者交流或参考,不代表本站立场,如存在版权或非法内容,请联系站长删除,联系邮箱:site.kefu@qq.com。
相关推荐
如何放弃领取的悬赏经验?
阅读量:120
地暖百问:[14]地暖会不会向下散失热量?
阅读量:106
四川九寨沟 神仙池
阅读量:73
如何预防孩子溺水?
阅读量:190
口水猪肝如何制作
阅读量:157
猜你喜欢
简历实践经历怎么写
脚麻木是怎么回事
耳朵出血怎么回事
男生英文名大全
4399儿歌故事大全
dota2装备大全
逆战背景音乐大全
儿歌视频大全100首
华罗庚简介
医院大全
猜你喜欢
红木沙发图片大全
微信怎么加群号
河蚌的做法大全
斗地主大全
火箭简笔画图片大全
科技手抄报内容大全
抬头纹怎么治
香港鬼片大全
过敏怎么治疗
qq标签大全