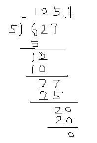
627除以5竖式计算三年级下册数学课本
627除以5竖式计算:

在计算过程中列一道竖式计算,使计算简便。加法计算时相同数位对齐,若和超过10,则向前进1。减法计算时相同数位对齐,若不够减,则向前一位借1当10。
除法计算:
当被除数不为0(例如3÷0),由于“任何数乘0都等于0,而不可能等于不是0的数(例如3)”,此时除法算式的商不存在——即任何数的0倍都不可能为非零数。
当被除数为0,即除法算式0÷0,由于“任何数乘0都等于0”,于是商可以是任何数——即任何数的0倍都等于0。
声明:本网站引用、摘录或转载内容仅供网站访问者交流或参考,不代表本站立场,如存在版权或非法内容,请联系站长删除,联系邮箱:site.kefu@qq.com。
阅读量:114
阅读量:75
阅读量:131
阅读量:45
阅读量:132