请问,如何求最小二乘法求得的斜率的不确定度,求公式,谢谢
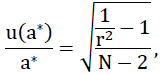
公式是:

其中r*r是Excel拟合之后的相关性,N是你测得的数据组数。a*是所测得物理量的大小。
一条直线与某平面直角坐标系横坐标轴正半轴方向所成的角的正切值即该直线相对于该坐标系的斜率.如果直线与x轴互相垂直,直角的正切值无穷大,故此直线不存在斜率。
当直线L的斜率存在时,对于一次函数y=kx+b,(斜截式)k即该函数图像的斜率。
扩展资料:
当直线L的斜率存在时,斜截式y=kx+b,当x=0时,y=b。
对于任意函数上任意一点,其斜率等于其切线与x轴正方向所成的角,即k=tanα。
曲线的变化趋势仍可以用过曲线上一点的切线的斜率即导数来描述。导数的几何意义是该函数曲线在这一点上的切线斜率。
f'(x)>0时,函数在该区间内单调递增,曲线呈向上的趋势;f'(x)<0时,函数在该区间内单调减,曲线呈向下的趋势。
在(a,b)f''(x)<0时,函数在该区间内的图形是凸(从上向下看)的;f''(x)>0时,函数在该区间内的图形是凹的。
参考资料来源:百度百科--斜率
声明:本网站引用、摘录或转载内容仅供网站访问者交流或参考,不代表本站立场,如存在版权或非法内容,请联系站长删除,联系邮箱:site.kefu@qq.com。
阅读量:165
阅读量:170
阅读量:36
阅读量:115
阅读量:147