python如何求1到100之和
1、range()类似于列表,range的英文释义是 范围,range(1,101)可以快速生成1-100的数列,代入sum函数即可

1、写出递归函数

2、得出结果

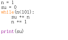
1、写个函数,定义一个累加变量,从1到100往上加上

2、得到结果

1、为自己点赞

声明:本网站引用、摘录或转载内容仅供网站访问者交流或参考,不代表本站立场,如存在版权或非法内容,请联系站长删除,联系邮箱:site.kefu@qq.com。
阅读量:67
阅读量:126
阅读量:22
阅读量:162
阅读量:194