求y=arcsin√(1-x^2)的微分,为什么x要有绝对值啊
因为:

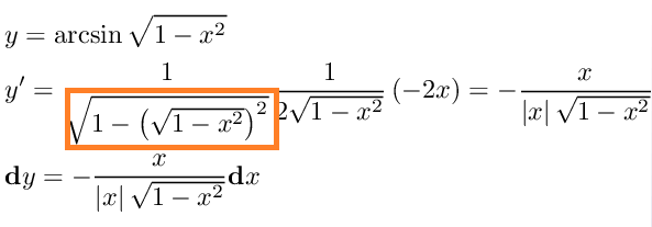
上图中橙色标记处是开方,√[1-1+x²]=√x²,当x大于0的时候,所得的微分不加绝对值不影响最终结果,当x小于0的时候,如果不加绝对值,得到的微分影响最终结果。所以必须加绝对值。
微分在数学中的定义:由函数B=f(A),得到A、B两个数集,在A中当dx靠近自己时,函数在dx处的极限叫作函数在dx处的微分,微分的中心思想是无穷分割。微分是函数改变量的线性主要部分。微积分的基本概念之一。
扩展资料:
设函数y = f(x)在某区间内有定义,x0及x0+△x在这区间内,若函数的增量Δy = f(x0 + Δx) − f(x0)可表示为Δy = AΔx + o(Δx),其中A是不依赖于△x的常数, o(Δx)是△x的高阶无穷小,则称函数y = f(x)在点x0是可微的。 AΔx叫做函数在点x0相应于自变量增量△x的微分,记作dy,即:dy=AΔx。
微分dy是自变量改变量△x的线性函数,dy与△y的差是关于△x的高阶无穷小量,我们把dy称作△y的线性主部。得出: 当△x→0时,△y≈dy。
导数的记号为:(dy)/(dx)=f′(X),我们可以发现,它不仅表示导数的记号,而且还可以表示两个微分的比值(把△x看成dx,即:定义自变量的增量等于自变量的微分),还可表示为dy=f′(X)dX。
声明:本网站引用、摘录或转载内容仅供网站访问者交流或参考,不代表本站立场,如存在版权或非法内容,请联系站长删除,联系邮箱:site.kefu@qq.com。
阅读量:159
阅读量:186
阅读量:147
阅读量:185
阅读量:70