有一首歌女的唱的歌词好像是“红人留下千殇白发杯中酒别化”是什么歌
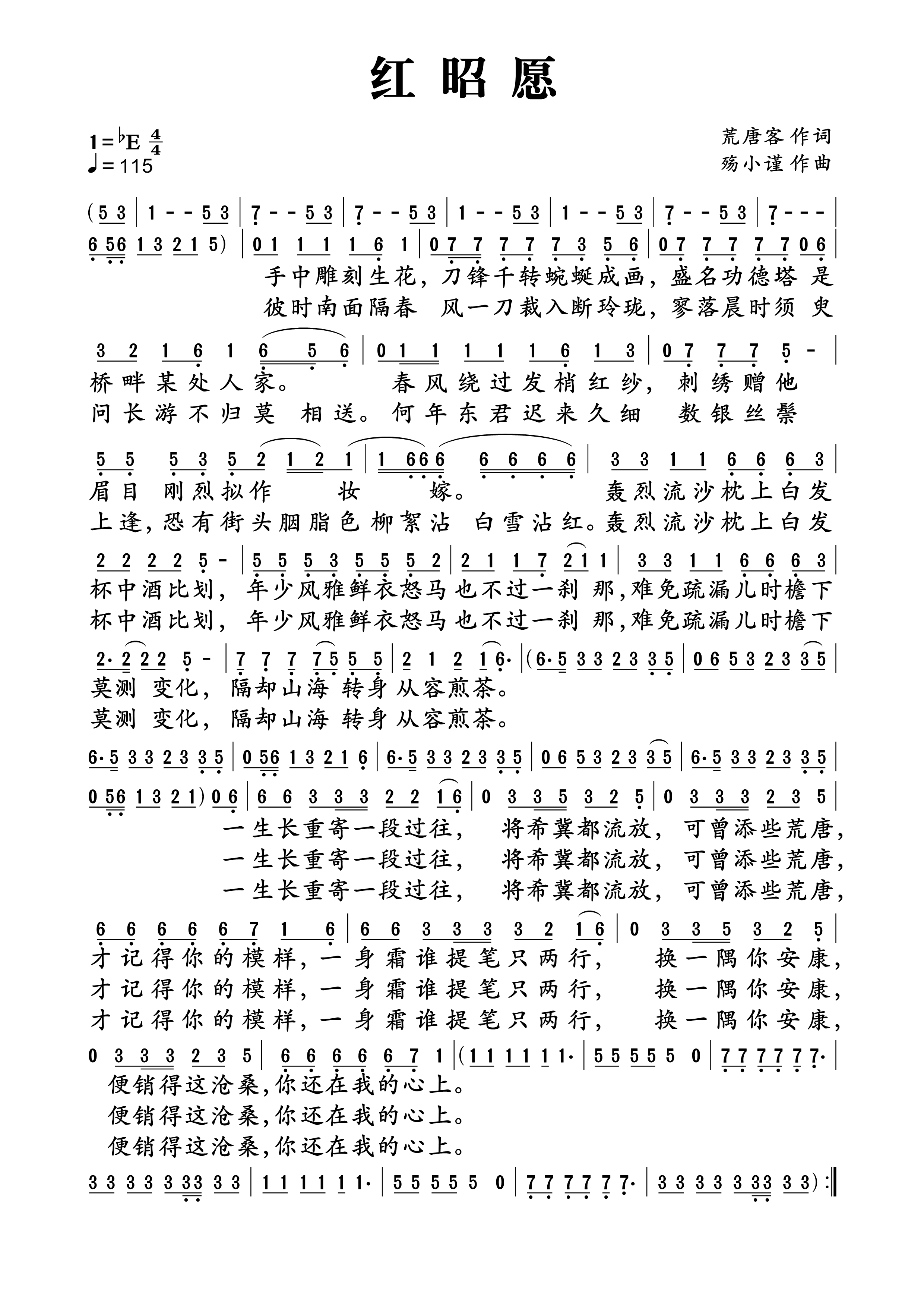
歌词提供错误,正确歌词是:轰烈流沙枕上白发,杯中酒比划。
歌名:《红昭愿》
演唱:音阙诗听,王梓钰
作词:偏生梓归
作曲:殇小谨
歌词:
手中雕刻生花, 刀锋千转蜿蜒
成画盛名功德, 塔是桥畔某处
人家春风绕过, 发梢红纱刺绣
赠他眉目刚烈, 拟作妆嫁轰烈
流沙枕上白发, 杯中酒比划年
少风雅鲜衣怒, 马也不过一刹
那难免疏漏儿, 时檐下莫测变
化隔却山海转, 身从容煎茶一
生长重寄一段, 过往将希冀都
流放可曾添些, 荒唐才记得你
的模样一身霜, 谁提笔只两行
换一隅你安康, 便销得这沧桑
你还在我的心, 上一生长重寄
一段过往将希, 冀都流放可曾
添些荒唐才记, 得你的模样一
身霜谁提笔只, 两行换一隅你
安康便销得这, 沧桑你还在我
的心上手中雕, 刻生花刀锋千
转蜿蜒成画盛, 名功德塔是桥
畔某处人家春, 风绕过发梢红
纱刺绣赠他眉, 目刚烈拟作妆
嫁轰烈流沙枕, 上白发杯中酒
比划年少风雅, 鲜衣怒马也不
过一刹那难免, 疏漏儿时檐下
莫测变化隔却, 山海转身从容
煎茶一生长重, 寄一段过往将
希冀都流放可, 曾添些荒唐才
记得你的模样, 一身霜谁提笔
只两行换一隅, 你安康便销得
这沧桑你还在, 我的心上一生
长重寄一段过, 往将希冀都流
放可曾添些荒, 唐才记得你的
模样一身霜谁, 提笔只两行换
一隅你安康便, 销得这沧桑你
还在我的心上

扩展资料:
《红昭愿》,音阙诗听音乐社的一首原创作品,由偏生梓归作词,殇小谨作曲,人声本家为音阙诗听主唱王梓钰演唱的一首歌曲,V本家由虚拟歌姬洛天依。 发行于2017年1月11日。
2018年11月3日,该曲获得国风极乐夜音乐盛典国风音乐人最佳单曲。2018年11月29日,该曲获得2018亚洲音乐盛典年度十佳热门单曲奖。
歌曲简谱:

参考资料来源:百度百科—红昭愿
声明:本网站引用、摘录或转载内容仅供网站访问者交流或参考,不代表本站立场,如存在版权或非法内容,请联系站长删除,联系邮箱:site.kefu@qq.com。
阅读量:168
阅读量:186
阅读量:21
阅读量:141
阅读量:131