小度生活
首页
美食营养
手工爱好
生活家居
返回
小度生活
首页
美食营养
游戏数码
手工爱好
生活家居
健康养生
运动户外
职场理财
情感交际
母婴教育
时尚美容
知识问答
生活知识
搜索
IKA IKA®-PET 50µl 定量移液器说明书:[7]
2026-01-23 12:31:34
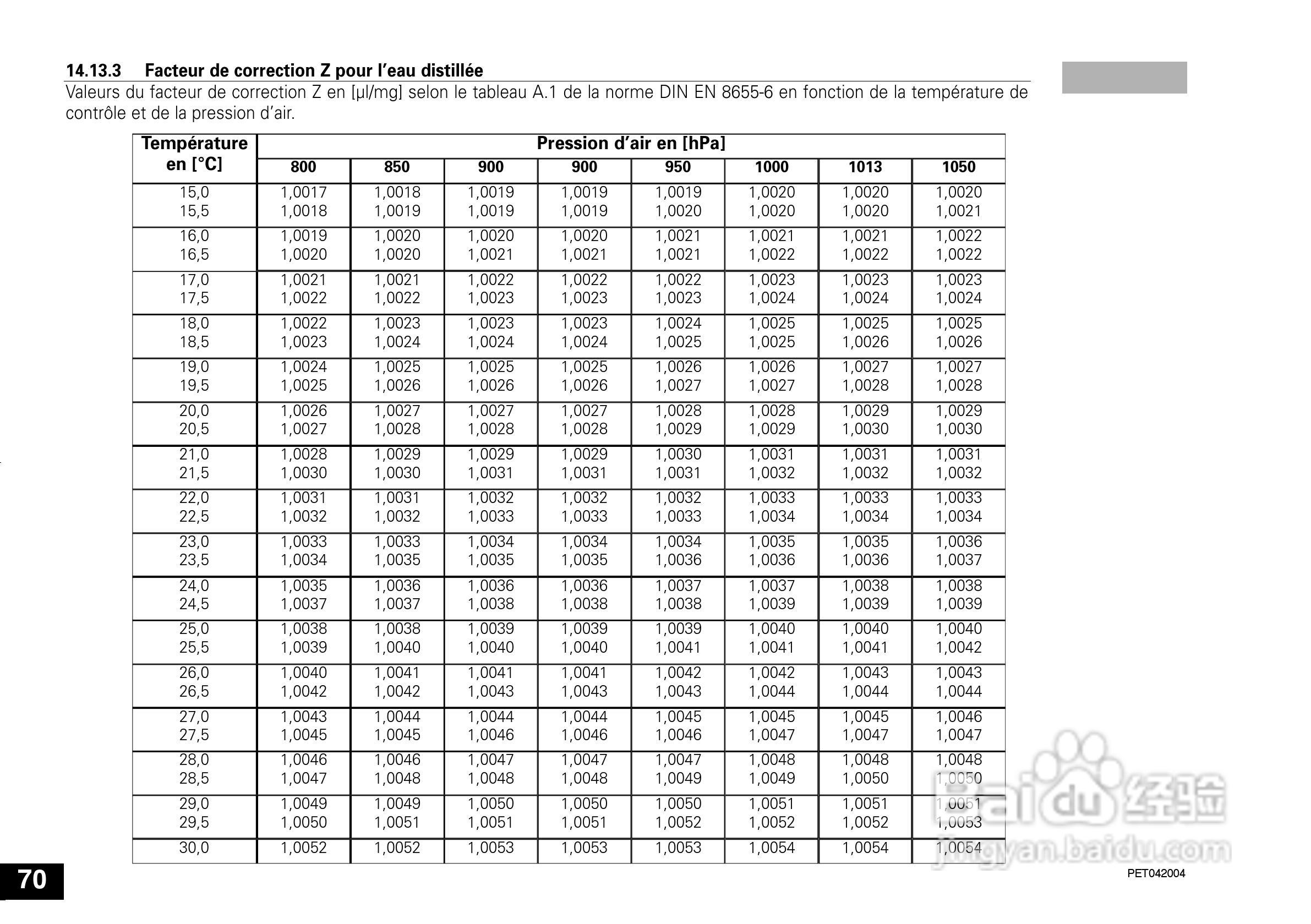
本篇为《IKA IKA®-PET 50µl 定量移液器说明书》,主要介绍该产品的使用方法以及常见故障解决方案。
(共篇)
上一篇:
|
下一篇:
声明:
本网站引用、摘录或转载内容仅供网站访问者交流或参考,不代表本站立场,如存在版权或非法内容,请联系站长删除,联系邮箱:site.kefu@qq.com。
相关推荐
IKA IKA®-PET 50µl 定量移液器说明书:[5]
阅读量:108
IKA IKA®-PET 100µl 定量移液器使用说明书:[7]
阅读量:157
IKA IKA®-PET 100µl 定量移液器使用说明书:[6]
阅读量:173
500组视频无缝转场模板使用方法pr教程
阅读量:110
50米怎么跑得快
阅读量:20
猜你喜欢
市盈率是什么意思
按揭是什么意思
清晰的意思
身上的痣代表什么
什么是编者按
近朱者赤近墨者黑是什么意思
什么是广域网
鸟鸣涧描写了什么景物
赞不绝口的意思
学什么专业有前途
猜你喜欢
sqe是什么意思
梦见剪头发是什么意思
只羡鸳鸯不羡仙什么意思
悲天悯人的意思
黑玛咖的功效与作用
建档立卡户是什么意思
后视镜加热有什么用
cpl是什么意思
flag是什么意思中文
什么是痛风病