小度生活
首页
美食营养
手工爱好
生活家居
返回
小度生活
首页
美食营养
游戏数码
手工爱好
生活家居
健康养生
运动户外
职场理财
情感交际
母婴教育
时尚美容
知识问答
生活知识
生活百科
搜索
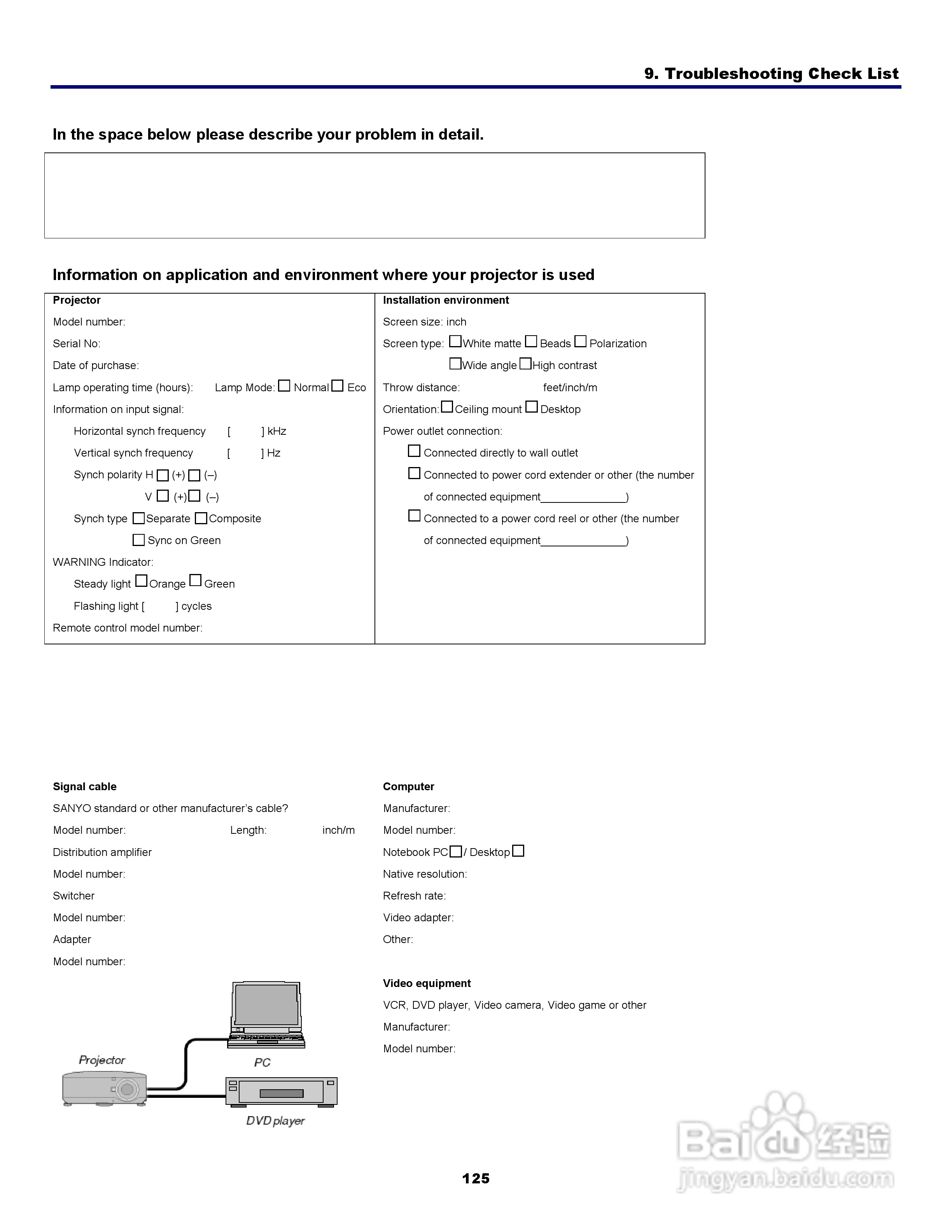
三洋 PDG-DWT50L投影机说明书:[14]
2026-03-28 04:57:14
本篇为《三洋 PDG-DWT50L投影机说明书》,主要介绍该产品的使用方法以及常见故障解决方案。
(共篇)
上一篇:
声明:
本网站引用、摘录或转载内容仅供网站访问者交流或参考,不代表本站立场,如存在版权或非法内容,请联系站长删除,联系邮箱:site.kefu@qq.com。
相关推荐
三洋 PDG-DWT50L投影机说明书:[13]
阅读量:55
三洋 PDG-DWT50L投影机说明书:[10]
阅读量:187
三洋 PDG-DWL100投影机说明书:[4]
阅读量:190
三洋 PDG-DSU30投影机说明书:[2]
阅读量:47
投影机的安装与调试
阅读量:102
猜你喜欢
梦见乌龟是什么意思
有志者事竟成的意思
混合痔用什么药
孕妇多吃什么好
tiffany什么意思
高压氧的作用
99朵玫瑰代表什么
什么卸妆产品好用
双鱼座和什么星座配
白醋泡脚的功效与作用
猜你喜欢
荫蔽的意思
什么带给我快乐作文
鞋底什么材质好
自律是什么意思
sheet是什么意思
什么是故意伤害罪
有什么好玩的网页游戏
一意孤行的意思
洋姜的功效与作用
ta是什么意思