小度生活
首页
美食营养
手工爱好
生活家居
返回
小度生活
首页
美食营养
游戏数码
手工爱好
生活家居
健康养生
运动户外
职场理财
情感交际
母婴教育
时尚美容
知识问答
生活知识
搜索
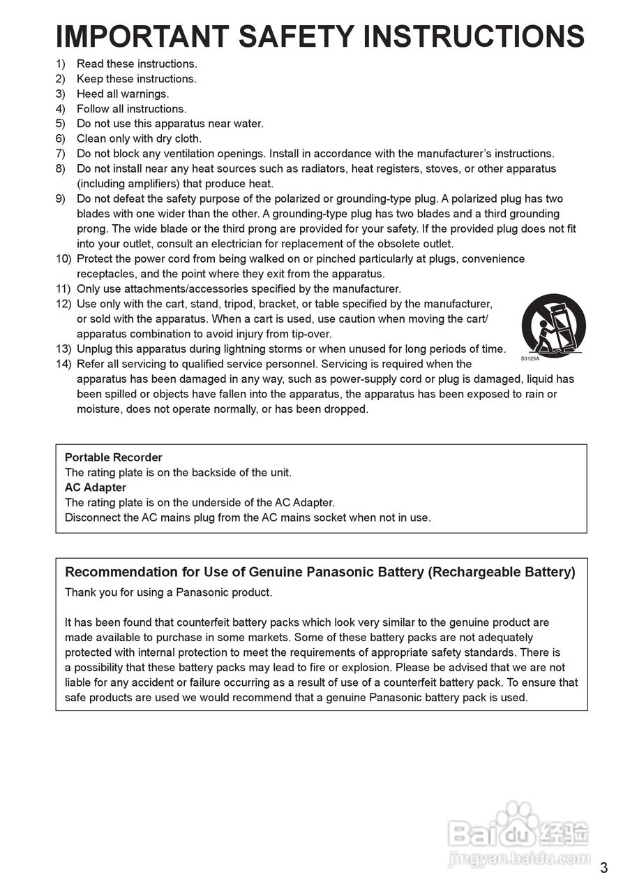
松下AG-HMR10录像机操作手冊:[1]
2026-02-17 02:20:43
本篇为《松下AG-HMR10录像机操作手冊》,主要介绍该产品的使用方法以及常见故障解决方案。
(共篇)
下一篇:
声明:
本网站引用、摘录或转载内容仅供网站访问者交流或参考,不代表本站立场,如存在版权或非法内容,请联系站长删除,联系邮箱:site.kefu@qq.com。
相关推荐
松下AG-HMR10录像机操作手冊:[10]
阅读量:26
松下AG-HMR10录像机操作手冊:[5]
阅读量:29
松下双开双控接线方法
阅读量:25
松下AG-HMR10录像机操作手冊:[8]
阅读量:169
松下AG-HMR10录像机操作手冊:[11]
阅读量:139
猜你喜欢
1978年属什么生肖
2月24日是什么星座
11月19日是什么星座
certainly是什么意思
再生纤维素纤维是什么面料
撸管是什么意思
荷尔蒙是什么意思
飞机经停是什么意思
pmp是什么
牙龈出血是什么病征兆
猜你喜欢
pp是什么意思
公知是什么意思
亡羊补牢的亡是什么意思
乐此不疲什么意思
名媛什么意思是什么
字节跳动是做什么的
ea是什么单位
meet是什么意思
wan口未连接是什么意思
基数是什么意思