小度生活
首页
美食营养
手工爱好
生活家居
返回
小度生活
首页
美食营养
游戏数码
手工爱好
生活家居
健康养生
运动户外
职场理财
情感交际
母婴教育
时尚美容
知识问答
生活知识
搜索
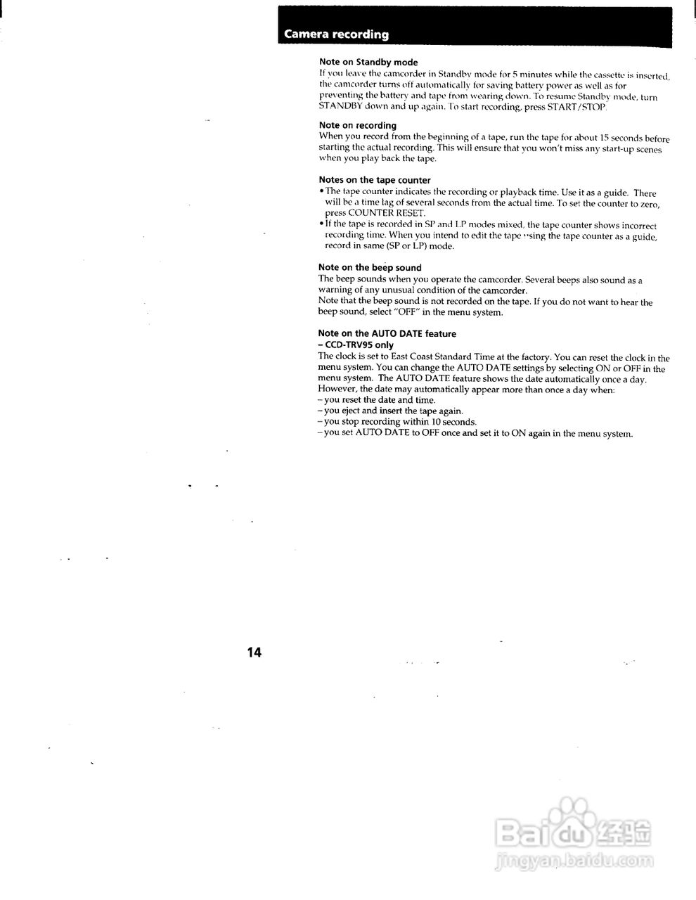
索尼CCD-TRV95模拟摄像机说明书:[2]
2025-10-24 07:04:10
本篇为《索尼CCD-TRV95模拟摄像机说明书》,主要介绍该产品的使用方法以及常见故障解决方案。
(共篇)
上一篇:
|
下一篇:
声明:
本网站引用、摘录或转载内容仅供网站访问者交流或参考,不代表本站立场,如存在版权或非法内容,请联系站长删除,联系邮箱:site.kefu@qq.com。
相关推荐
索尼CCD-TRV75模拟摄像机说明书:[2]
阅读量:171
索尼CCD-TRV88模拟摄像机说明书:[2]
阅读量:69
模拟摄像机和网络监控摄像机画面嵌入网页直播
阅读量:186
索尼CCD-TRV93模拟摄像机说明书:[2]
阅读量:101
索尼CCD-TRV82模拟摄像机说明书:[2]
阅读量:126
猜你喜欢
粉墨登场是什么意思
黑猪养殖
prince是什么意思
sap是什么意思
7月1日什么节
九月九日忆山东兄弟山东指什么
送女朋友什么礼物好
流拍是什么意思
十滴水是什么
粽子的五花肉怎么腌制
猜你喜欢
放松运动
ol什么意思
美国的国花是什么花
经期头痛是什么原因
杰士邦是什么
什么运动最减肥
世界上什么车最贵
什么输入法最好用
技校是什么学历
对虾养殖