相关系数越大,说明两个变量之间的关系就越强吗
相关系数越大,说明两个变量之间的关系就越强。
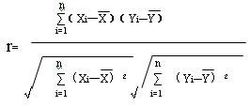
样本的简单相关系数一般用r表示,计算公式为:

r 的绝对值越大表明相关性越强,要注意的是这里并不存在因果关系。若r=0,表明两个变量间不是线性相关,但有可能是其他方式的相关(比如曲线方式)。
利用样本相关系数推断总体中两个变量是否相关,可以用t 统计量对总体相关系数为0的原假设进行检验。若t 检验显著,则拒绝原假设,即两个变量是线性相关的;若t 检验不显著,则不能拒绝原假设,即两个变量不是线性相关。

扩展资料
一些实际工作者用非居中的相关系数(与Pearson系数不相兼容)。
例如:
假设五个国家的国民生产总值分别是1、2、3、5、8(单位10亿美元),又假设这五个国家的贫困比例分别是11%、12%、13%、15%、18%。
则有两个有序的包含5个元素的向量x、y:x = (1, 2, 3, 5, 8) 、 y = (0.11, 0.12, 0.13, 0.15, 0.18) 使用一般的方法来计算向量间夹角(参考数量积)。
上面的数据实际上是选择了一个完美的线性关系:y = 0.10 + 0.01 x。因此皮尔逊相关系数应该就是1。
把数据居中(x中数据减去 E(x) = 3.8 ,y中数据减去E(y) = 0.138)后得到:x = (−2.8, −1.8, −0.8, 1.2, 4.2)、 y = (−0.028, −0.018, −0.008, 0.012, 0.042)。
参考资料来源:百度百科-相关系数
声明:本网站引用、摘录或转载内容仅供网站访问者交流或参考,不代表本站立场,如存在版权或非法内容,请联系站长删除,联系邮箱:site.kefu@qq.com。
阅读量:167
阅读量:178
阅读量:112
阅读量:178
阅读量:44