小度生活
首页
美食营养
手工爱好
生活家居
返回
小度生活
首页
美食营养
游戏数码
手工爱好
生活家居
健康养生
运动户外
职场理财
情感交际
母婴教育
时尚美容
知识问答
生活知识
生活百科
搜索
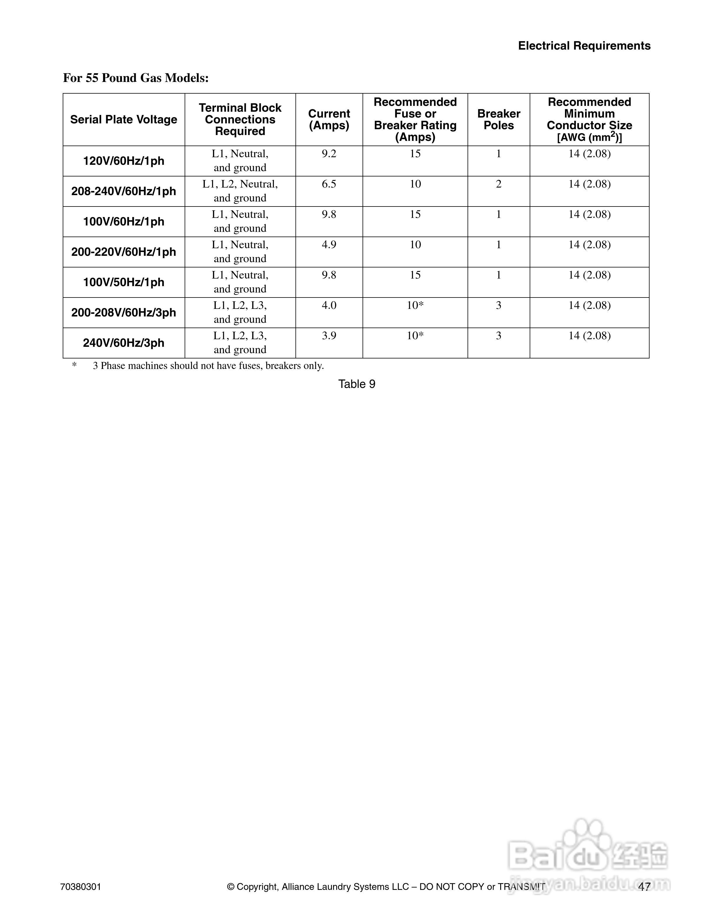
上海丹威CT030S烘干机安装说明书:[5]
2026-03-28 17:22:11
本篇为《上海丹威CT030S烘干机安装说明书》,主要介绍该产品的使用方法以及常见故障解决方案。
(共篇)
上一篇:
|
下一篇:
声明:
本网站引用、摘录或转载内容仅供网站访问者交流或参考,不代表本站立场,如存在版权或非法内容,请联系站长删除,联系邮箱:site.kefu@qq.com。
相关推荐
上海丹威CT030S烘干机安装说明书:[6]
阅读量:185
上海丹威CT120-170S烘干机说明书:[1]
阅读量:153
烘干机怎么安装
阅读量:123
智能烘干机方案
阅读量:30
烘干机同心度如何调整
阅读量:50
猜你喜欢
安逸什么意思
须眉是什么意思
雁门关是在什么地方啊
碳水化合物是什么
天王山之战是什么意思
陆游号什么
大红袍属于什么茶
净值型理财产品是什么意思
蓝领是什么意思
腿抽筋什么原因引起的
猜你喜欢
pad是什么意思
结婚需要什么证件
欧洲杯什么时候开始
永加日念什么
月亮像什么
什么是籍贯
什么叫互质数
arc是什么意思
伟岸是什么意思
可以组什么词