线性代数:化二次型为标准型?
1、可以写成x=Cy的线性变换在一定条件下,我们称其为非退化的线性变换,如下:



2、矩阵的合同是由二次型转化为标准型的重要概念,让我们一起来认识一下吧,如下:


1、可逆线性变换:


2、正交相似变换法:

3、用正交变换化二次型为标准型的步骤:

1、把二次型化为标准型,如下:

2、步骤(1):求特征值:

3、步骤(2):求基础解系:

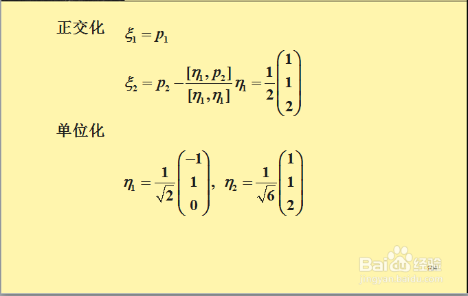
4、步骤(3):正交化、单位化:


5、得出结果:

1、关于二次型转化为标准型已经讲解完了,祝贺您今天又学习了新知识。
声明:本网站引用、摘录或转载内容仅供网站访问者交流或参考,不代表本站立场,如存在版权或非法内容,请联系站长删除,联系邮箱:site.kefu@qq.com。