小度生活
首页
美食营养
手工爱好
生活家居
返回
小度生活
首页
美食营养
游戏数码
手工爱好
生活家居
健康养生
运动户外
职场理财
情感交际
母婴教育
时尚美容
知识问答
生活知识
生活百科
搜索
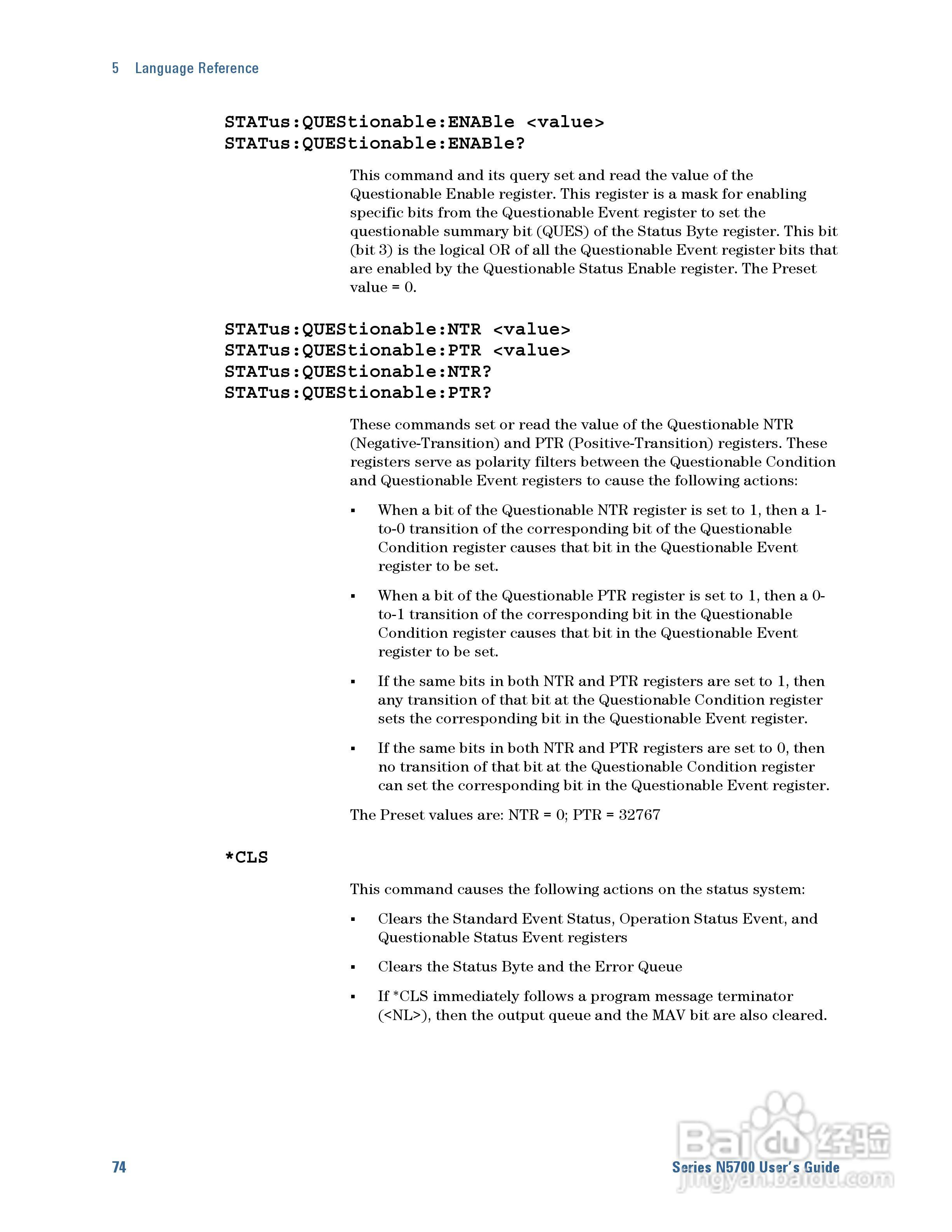
N5743A直流系统电源供应器操作手册:[8]
2026-04-15 13:23:03
本篇为《N5743A直流系统电源供应器操作手册》,主要介绍该产品的使用方法以及常见故障解决方案。
(共篇)
上一篇:
|
下一篇:
声明:
本网站引用、摘录或转载内容仅供网站访问者交流或参考,不代表本站立场,如存在版权或非法内容,请联系站长删除,联系邮箱:site.kefu@qq.com。
相关推荐
N5743A直流系统电源供应器操作手册:[9]
阅读量:175
N5743A直流系统电源供应器操作手册:[10]
阅读量:66
N5743A直流系统电源供应器操作手册:[13]
阅读量:101
N5743A直流系统电源供应器操作手册:[12]
阅读量:43
N5743A直流系统电源供应器操作手册:[5]
阅读量:38
猜你喜欢
小学生作文运动会
胶原蛋白的功效与作用
交泰丸的功效与作用
调经促孕丸的作用
中山有什么好玩的地方
表达方式及其作用
运动会奖状模板
宝宝腹泻有什么症状
坐飞机不能带什么东西
蒸香蕉的功效与作用
猜你喜欢
鹤唳华亭讲的什么
知识问答
还有什么等待
还魂草的功效与作用
决明子菊花茶的功效与作用及禁忌
送鞋子代表什么意思
汽车轮胎知识
任正非用什么手机
春梦了无痕什么意思
海马有什么功效