小度生活
首页
美食营养
手工爱好
生活家居
返回
小度生活
首页
美食营养
游戏数码
手工爱好
生活家居
健康养生
运动户外
职场理财
情感交际
母婴教育
时尚美容
知识问答
生活知识
生活百科
搜索
索尼CCD-TRV35模拟摄像机说明书:[7]
2026-04-18 19:03:43
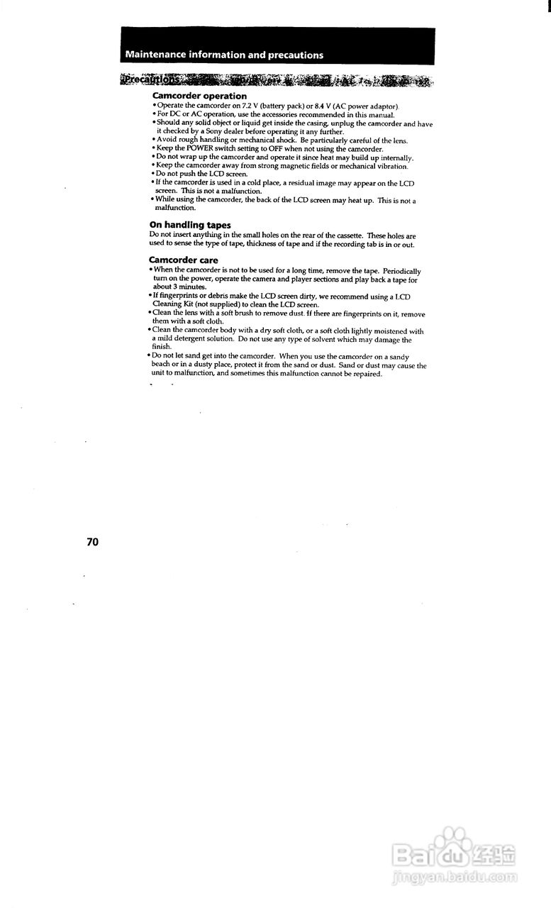
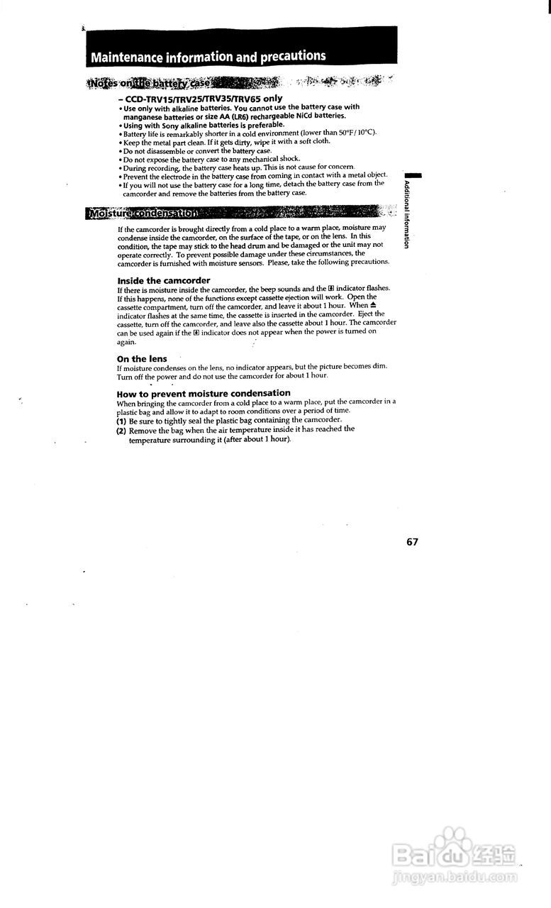
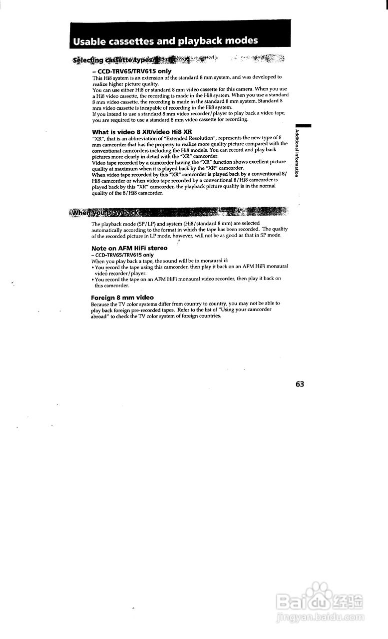
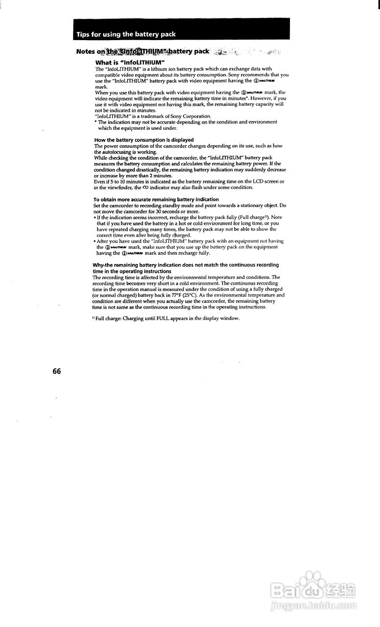
本篇为《索尼CCD-TRV35模拟摄像机说明书》,主要介绍该产品的使用方法以及常见故障解决方案。
(共篇)
上一篇:
|
下一篇:
声明:
本网站引用、摘录或转载内容仅供网站访问者交流或参考,不代表本站立场,如存在版权或非法内容,请联系站长删除,联系邮箱:site.kefu@qq.com。
相关推荐
索尼CCD-TRV32模拟摄像机说明书:[7]
阅读量:143
索尼CCD-TRV101模拟摄像机说明书:[7]
阅读量:74
模拟摄像机和网络监控摄像机画面嵌入网页直播
阅读量:109
索尼CCD-TRV16模拟摄像机说明书:[7]
阅读量:148
索尼CCD-TRV215模拟摄像机说明书:[7]
阅读量:63
猜你喜欢
大自然木门怎么样
海信电视怎么安装软件
november怎么读
姜汤的做法 感冒
怎么知道怀孕
今日头条极速版怎么赚钱
c罗发型
大众途观怎么样
长直发发型
灵敏的近义词
猜你喜欢
壁挂炉怎么用
认真的近义词
纷纷扬扬的近义词
怎么利用手机赚钱
全神贯注近义词
婴儿不喝奶粉怎么办
幽深的近义词
小孩感冒
怎么考幼师资格证
家里潮湿怎么办