毕奥萨伐尔定律是什么
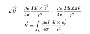
毕奥-萨伐尔定律(英文:Biot-Savart Law)是描述在静磁学中电流元在空间任意点P处所激发的磁场的关系。公式如配图所示。
该定律在静磁近似中是有效的,并且与Ampère的电路规律和磁性高斯定律一致,以Jean-Baptiste Biot和FélixSavart命名。

毕奥-萨伐尔定律基本内容
电流元Idl在空间某点P处产生的磁感应强度dB的大小与电流元Idl的大小成正比,与电流元Idl所在处到P点的位置矢量和电流元Idl之间的夹角的正弦成正比,而与电流元Idl到P点的距离的平方成反比。
毕奥-萨伐尔定律定律是由H.C.奥斯特实验引起的,这个实验表明,长直载流导线对磁极的作用力是横向力。为了揭示电流对磁极作用力的普遍定量规律,J.B.毕奥和F.萨伐尔认为电流元对磁极的作用力也应垂直于电流元与磁极构成的平面,即也是横向力。
他们通过长直和弯折载流导线对磁极作用力的实验,得出了作用力与距离和弯折角的关系。在P.S.M.拉普拉斯的帮助下,经过适当的分析,得到了电流元对磁极作用力的规律。根据近距作用观点,它现在被理解为电流元产生磁场的规律。
声明:本网站引用、摘录或转载内容仅供网站访问者交流或参考,不代表本站立场,如存在版权或非法内容,请联系站长删除,联系邮箱:site.kefu@qq.com。
阅读量:164
阅读量:190
阅读量:146
阅读量:144
阅读量:32