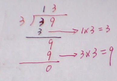
39÷3竖式计算怎么算
39÷3=13

除法竖式注意事项:
1、列竖式时,商的个位要与被除数的个位对齐。
2、商和除数的积写到被除数的下面。
3、最后在积的下面画横线。
4、横线下写上被除数与商和除数的积的差。
扩展资料
乘法竖式计算要注意四个问题:
1、两个数的最后一位要对齐。
2、尽量把数字多的数写在上面,数字少的数写在下面,以减少乘的次数。
3、如果两个数的末尾有“0”,写竖式时可以只将“0”前面的数的最后一位对齐,最后在竖式积的后面添上两个数共有的“0”的个数。
4、小数乘法要根据小数的倍数确定积的小数点的位置。
声明:本网站引用、摘录或转载内容仅供网站访问者交流或参考,不代表本站立场,如存在版权或非法内容,请联系站长删除,联系邮箱:site.kefu@qq.com。