根号二分之一为什么等于二分之根号二
根号1就是等于1,根号2分之1就可以等于根号1除以根号2,而根号1就是等于1,所以化简就等于是根号2分之1,而根号2分之1还可以化简的,分子分母同时乘以根号2,分子就是1乘以根号2等于根号2,分母就是根号2的平方就等于2了,所以答案化简出来就是2分之根号2。
这个叫做分母有理化,根号二分之一即根号1/根号2,分子分母同时乘以根号2,即二分之根号二分母有理化,即把分母中无理数化为有理数,一般都是分子分母同时乘以和分母一样的数。

拓展资料
分母有理化
分母有理化(fēn mǔ yǒu lǐ huà)(Rationalize the denominator),又称"有理化分母",指的是在 二次根式中分母原为 无理数,而将该分母化为有理数的过程,也就是将分母中的 根号化去。
下面介绍两种分母有理化的常规方法,基本思路是把分子和分母都乘以同一个适当的代数式,使分母不含根号。
分母是一个单项式
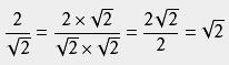
例如二次根式

,下面将之分母有理化:

分子分母同时乘以√2,分母变为2,分子变为2√2, 约分后, 分数值为√2。在这里我们想办法把√2化为有理数,只要变为它的平方即可。
分母是一个多项式
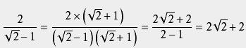
再举一个分母是 多项式的例子,如

,下面将之分母有理化:

思路仍然是将分子分母同乘相同数。这里使用 平方差公式,同时乘上√2+1,分子变为2√2+2, 分数值为2√2+2,再约分即可。也就是说,为了有理化多项式的分母,原来分母是减号,我们乘上一个数字相同但用加号连接的式子,再用平方差公式。

3特殊方法
编辑
下面有一些特殊的方法供参考!
分解约简法
将

分母有理化:

这里我们将分母分解因式后提取出来,这样避免采用平方差公式分解。这种方法较适用于分子分母含有公因式时。
配方约简法
将

分母有理化:

这里我们将分子化成平方式,然后利用 完全平方公式配方,再和分母约分,这样避免采用平方差公式分解。