ex次幂的导数是多少
ex

拓展资料:
求导公式:
y=c(c为常数) y'=0
y=x^n y'=nx^(n-1)
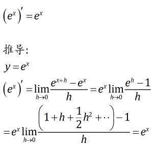
y=a^x y'=a^xlna ,y=e^x y'=e^x
y=logax y'=logae/x ,y=lnx y'=1/x
y=sinx y'=cosx
y=cosx y'=-sinx
y=tanx y'=1/cos^2x
y=cotx y'=-1/sin^2x
y=arcsinx y'=1/√1-x^2
y=arccosx y'=-1/√1-x^2
y=arctanx y'=1/1+x^2
y=arccotx y'=-1/1+x^2
声明:本网站引用、摘录或转载内容仅供网站访问者交流或参考,不代表本站立场,如存在版权或非法内容,请联系站长删除,联系邮箱:site.kefu@qq.com。
阅读量:172
阅读量:30
阅读量:137
阅读量:99
阅读量:87