小度生活
首页
美食营养
手工爱好
生活家居
返回
小度生活
首页
美食营养
游戏数码
手工爱好
生活家居
健康养生
运动户外
职场理财
情感交际
母婴教育
时尚美容
搜索
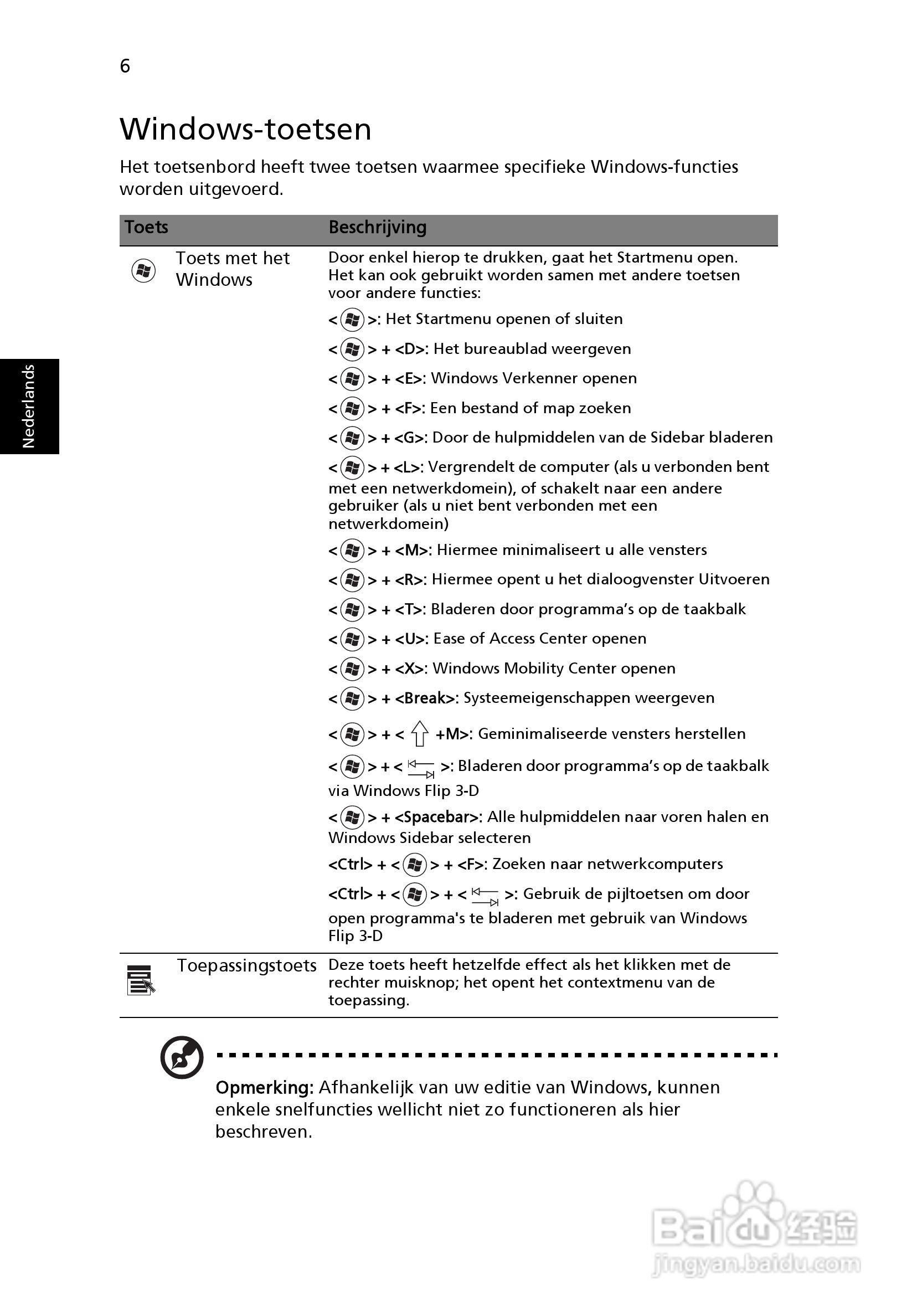
ACER宏基Aspire 5951G笔记本说明书:[50]
2025-11-08 07:20:57
本篇为《ACER宏基Aspire 5951G笔记本说明书》,主要介绍该产品的使用方法以及常见故障解决方案。
(共篇)
上一篇:
|
下一篇:
声明:
本网站引用、摘录或转载内容仅供网站访问者交流或参考,不代表本站立场,如存在版权或非法内容,请联系站长删除,联系邮箱:site.kefu@qq.com。
相关推荐
ACER宏基Aspire 5951G笔记本说明书:[66]
阅读量:172
ACER宏基Aspire 5951G笔记本说明书:[79]
阅读量:196
ACER宏基Aspire 5951G笔记本说明书:[106]
阅读量:169
ACER宏基Aspire 5951G笔记本说明书:[107]
阅读量:128
ACER宏基Aspire 5951G笔记本说明书:[103]
阅读量:195
猜你喜欢
dumpling是什么意思
挑衅是什么意思
不约而同的意思是什么
虎头蛇尾是什么意思
大爱无疆的意思
过年祝福语
有什么在家赚钱
梦到着火是什么意思
五金交电包括什么
井底之蛙是什么意思
猜你喜欢
appear是什么意思
timing是什么意思
ai格式用什么打开
七夕祝福语
说三道四的意思
上皮细胞是什么意思
圆通快递什么时候停运
reliable是什么意思
命犯桃花什么意思
祝福祖国简谱