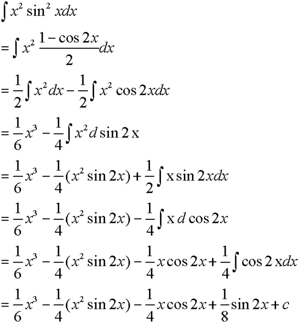
(xsinx)平方的不定积分
具体如图所示:

一个函数f 的不定积分,或原函数,或反导数,是一个导数等于f 的函数 F ,即F ′ = f。不定积分和定积分间的关系由微积分基本定理确定。其中F是f的不定积分。
扩展资料:
将所求积分化为两个积分之差,积分容易者先积分。实际上是两次积分。有理函数分为整式(即多项式)和分式(即两个多项式的商),分式分为真分式和假分式,而假分式经过多项式除法可以转化成一个整式和一个真分式的和,可见问题转化为计算真分式的积分。
函数的积分表示了函数在某个区域上的整体性质,改变函数某点的取值不会改变它的积分值。对于黎曼可积的函数,改变有限个点的取值,其积分不变。对于勒贝格可积的函数,某个测度为0的集合上的函数值改变,不会影响它的积分值。
如果两个函数几乎处处相同,那么它们的积分相同。如果对任意元素A,可积函数f在A上的积分总等于(大于等于)可积函数g在A上的积分,那么f几乎处处等于(大于等于)g。
参考资料来源:百度百科——不定积分
声明:本网站引用、摘录或转载内容仅供网站访问者交流或参考,不代表本站立场,如存在版权或非法内容,请联系站长删除,联系邮箱:site.kefu@qq.com。
阅读量:171
阅读量:180
阅读量:185
阅读量:65
阅读量:164