正态分布概率计算公式是什么
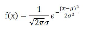
正态分布概率计算公式:

其中μ为均数,σ为标准差。μ决定了正态分布的位置,与μ越近,被取到的概率就越大,反之越小。σ描述的是正态分布的离散程度。σ越大,数据分布越分散曲线越扁平;σ越小,数据分布越集中曲线越陡峭。
正态分布,又称高斯分布。其特征为中间高两边低左右对称。它有以下几个性质:
集中性:曲线的最高峰位于正中央,且位置为均数所在的位置。
对称性:正态分布曲线以均数所在的位置为中心左右对称且曲线两段无线趋近于横轴。
均匀变动性:正态分布曲线以均数所在的位置为中心均匀向左右两侧下降。
面积恒等:曲线与横轴间的面积总等于1。
声明:本网站引用、摘录或转载内容仅供网站访问者交流或参考,不代表本站立场,如存在版权或非法内容,请联系站长删除,联系邮箱:site.kefu@qq.com。
阅读量:146
阅读量:64
阅读量:86
阅读量:138
阅读量:150