小度生活
首页
美食营养
手工爱好
生活家居
返回
小度生活
首页
美食营养
游戏数码
手工爱好
生活家居
健康养生
运动户外
职场理财
情感交际
母婴教育
时尚美容
知识问答
生活知识
生活百科
搜索
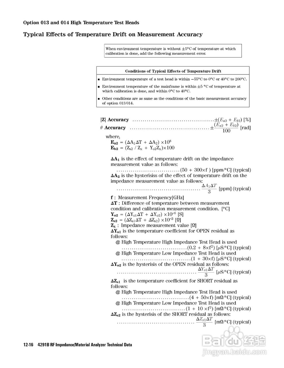
HP4291B分析仪说明书:[29]
2026-03-28 17:11:52
本篇为《HP4291B分析仪说明书》,主要介绍该产品的使用方法以及常见故障解决方案。
(共篇)
上一篇:
|
下一篇:
声明:
本网站引用、摘录或转载内容仅供网站访问者交流或参考,不代表本站立场,如存在版权或非法内容,请联系站长删除,联系邮箱:site.kefu@qq.com。
相关推荐
威尔士蛋糕的做法
阅读量:157
如何鉴定铜手炉
阅读量:100
雪铁龙C5原车屏幕升级,加装导航,加装倒车影像
阅读量:109
老式炸酱面的做法
阅读量:125
腾讯云如何下载自己的发票
阅读量:144
猜你喜欢
定量分析方法
怎样做黄花鱼好吃
表白被拒绝怎么办
三角梅的修剪方法图
系鞋带的漂亮方法
生产用英语怎么说
儿童弱视治疗方法
灰指甲的治疗方法
三月三手抄报图片大全
符号大全花样符号
猜你喜欢
惩罚女朋友最疼最污的方法
治疗牙疼的快速方法
淘宝怎么刷销量
儿童帽子的编织方法
酷狗怎么k歌
干虾怎么做好吃
成长记录袋怎么做
怎么制作铃声
花菜的做法大全家常
苹果的图片大全