MATLAB实现图像平滑
1、平均模板:
以点(x,y)为中心,在3*3领域上的点参与新图中(x,y)点像素值运算;
其决定该像素值的权重相同;
系数保证整个模板的元素和为1,使得新图和原图保持在同一个灰度范围中。

2、原理:
图像有局部连续性质,噪声的存在使得在噪声点产生灰度跳跃,一般合理假设偶尔出现的噪声影响没有改变局部连续性质。
平均模板将每一个点用周围点的平均代替达到减少噪声的影响的过程是平滑(或模糊)。
3、以图像的灰度矩阵表示为例,f是原图,对其进行3*3平均滤波后的矩阵为g。
可以看出平均滤波后,对f中的噪声点灰度进行了修正。


1、读入图像,以matlab自带pout.tif为例。
读入图像虽然简单,却是必须的一个步骤。

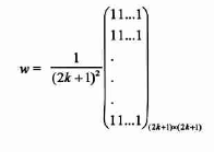
2、分别建立3*3、5*5、7*7模板,然后采用相关滤波重复填充边界模式进行滤波处理。
若显示滤波模板的矩阵,可以看出其完全复合上面的w的计算方式。

3、分别显示原图与使用3个大小的平均模板进行滤波处理的后的图像。

4、从结果图可以看出,随着模板增大,滤波平滑更多噪声时也使得图片更加模糊。

声明:本网站引用、摘录或转载内容仅供网站访问者交流或参考,不代表本站立场,如存在版权或非法内容,请联系站长删除,联系邮箱:site.kefu@qq.com。
阅读量:98
阅读量:99
阅读量:153
阅读量:169
阅读量:64