小度生活
首页
美食营养
手工爱好
生活家居
返回
小度生活
首页
美食营养
游戏数码
手工爱好
生活家居
健康养生
运动户外
职场理财
情感交际
母婴教育
时尚美容
知识问答
搜索
cab A8200打印机使用说明书:[14]
2025-11-16 23:11:04
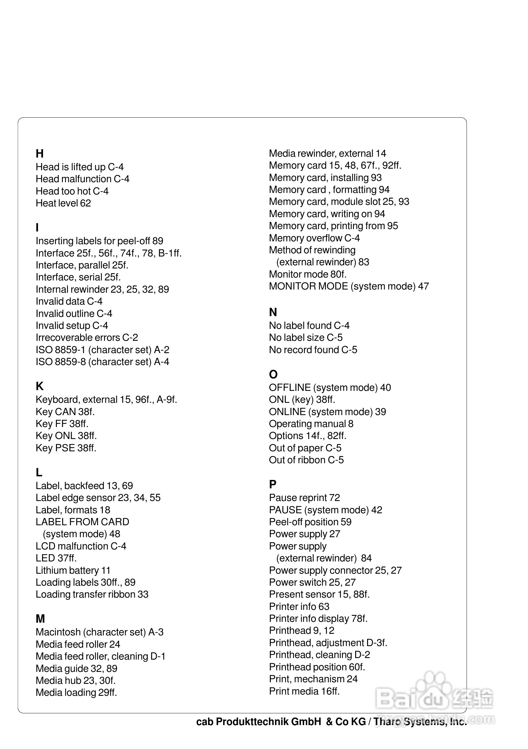
本篇为《cab A8200打印机使用说明书》,主要介绍该产品的使用方法以及常见故障解决方案。
(共篇)
上一篇:
声明:
本网站引用、摘录或转载内容仅供网站访问者交流或参考,不代表本站立场,如存在版权或非法内容,请联系站长删除,联系邮箱:site.kefu@qq.com。
相关推荐
cab A8200打印机使用说明书:[12]
阅读量:192
cab A8200打印机使用说明书:[8]
阅读量:174
cab A8300打印机使用说明书:[10]
阅读量:168
cab A8300打印机使用说明书:[6]
阅读量:69
打印机驱动程序如何安装
阅读量:185
猜你喜欢
河南信阳旅游景点
甘南旅游景点
广州市旅游商务职业学校
临沂旅游景点大全
搭档英语怎么说
我可以抱你吗吉他谱
合并报表怎么做
深圳市旅游景点
菲律宾旅游
ram具有的特点是
猜你喜欢
春秋旅游
华东五市旅游攻略
恩施大峡谷景区
黑山谷景区
iphone4s怎么刷机
人失踪多久可以报警
天上王城景区
生完孩子多久可以怀孕
贵州有什么旅游景点
杭州旅游景点大全