小度生活
首页
美食营养
手工爱好
生活家居
返回
小度生活
首页
美食营养
游戏数码
手工爱好
生活家居
健康养生
运动户外
职场理财
情感交际
母婴教育
时尚美容
知识问答
生活知识
生活百科
搜索
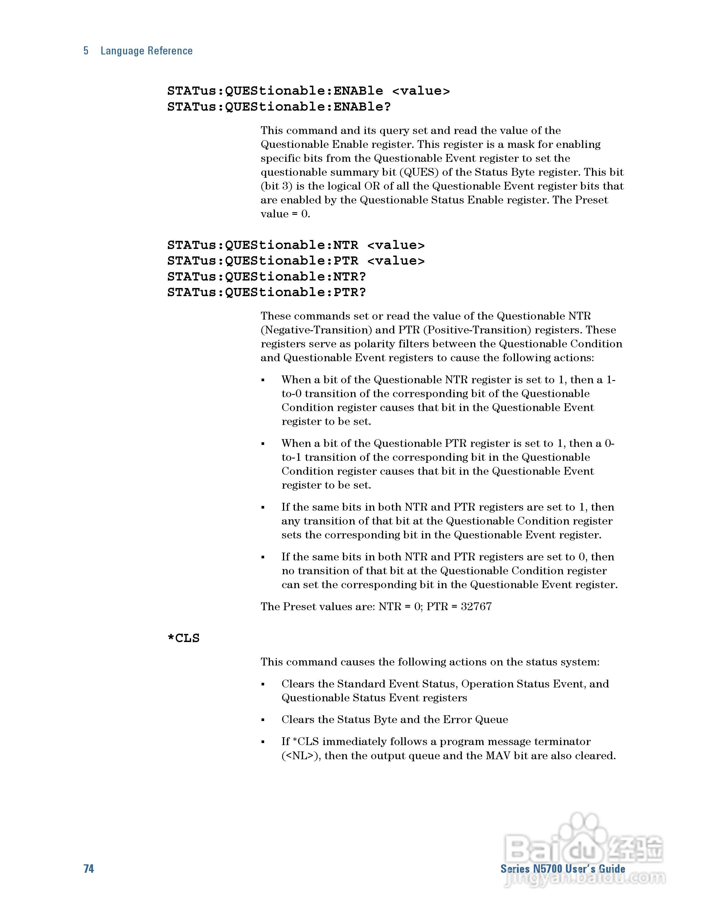
N5741A直流系统电源供应器操作手册:[8]
2026-04-18 06:27:03
本篇为《N5741A直流系统电源供应器操作手册》,主要介绍该产品的使用方法以及常见故障解决方案。
(共篇)
上一篇:
|
下一篇:
声明:
本网站引用、摘录或转载内容仅供网站访问者交流或参考,不代表本站立场,如存在版权或非法内容,请联系站长删除,联系邮箱:site.kefu@qq.com。
相关推荐
N5741A直流系统电源供应器操作手册:[7]
阅读量:159
N5741A直流系统电源供应器操作手册:[6]
阅读量:51
N5741A直流系统电源供应器操作手册:[13]
阅读量:139
N5741A直流系统电源供应器操作手册:[12]
阅读量:35
N5741A直流系统电源供应器操作手册:[5]
阅读量:164
猜你喜欢
little怎么读
第一次进不去怎么办
鼻子上长痘痘怎么去掉
馅饼的做法大全
真心话大冒险怎么玩
岫怎么读
欠钱不还怎么办最有效的方法
为什么拉屎拉出血
紫甘蓝的做法大全
优博奶粉怎么样
猜你喜欢
favourite怎么读
石锅饭的做法
加州牛肉面的做法
血压低压高怎么办
怎么删除分页符
刺猴怎么治疗能根除
毛血旺怎么做
牛肉怎么切
蒸槐花的做法详细步骤
仉怎么读