高考数学试题等差数列及其前n项和解题思维
1、(2015·高考全国卷Ⅱ)设Sn是等差数列{an}的前n项和,若a1+a3+a5=3,则S5=( )
A.5 B.7
C.9 D.11

2、(2016·高考江苏卷)已知{an}是等差数列,Sn是其前n项和.若a1+a2(2)=-3,S5=10,则a9的值是________.

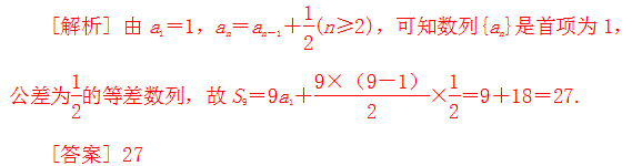
3、(2015·高考安徽卷)已知数列{an}中,a1=1,an=an-1+2(1)(n≥2),则数列{an}的前9项和等于________.

1、等差数列基本量的计算是高考的常考内容,多出现在选择题、填空题或解答题的第(1)问中,属容易题.
高考对等差数列基本量计算的考查常有以下三个命题角度:
(1)求公差d、项数n或首项a1;
(2)求通项或特定项;
(3)求前n项和.
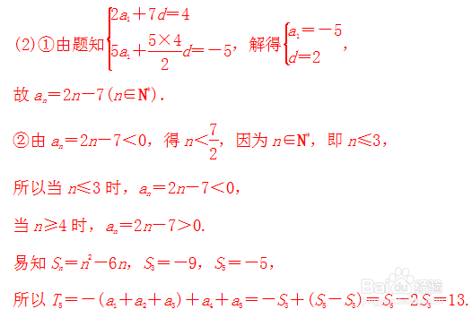
2、(2017·广州市五校联考)已知等差数列{an}的前n项和为Sn,且a3+a6=4,S5=-5.
①求数列{an}的通项公式;
②若Tn=|a1|+|a2|+|a3|+…+|an|,求T5的值.


1、(1)等差数列的通项公式及前n项和公式,共涉及五个量a1,an,d,n,Sn,知其中三个就能求另外两个,体现了用方程的思想来解决问题.
(2)数列的通项公式和前n项和公式在解题中起到变量代换作用,而a1和d是等差数列的两个基本量,用它们表示已知和未知是常用方法.
2、角度一 求公差d、项数n或首项a1
1.(2017·高考全国卷乙)记Sn为等差数列{an}的前n项和.若a4+a5=24,S6=48,则{an}的公差为( )
A.1 B.2
C.4 D.8

3、角度二 求通项或特定项
2.已知正项等差数列{an}的前n项和为Sn,且满足 a1+a5=7(2)a3(2),S7=63.求数列{an}的通项公式.


4、角度三 求前n项和
3.设Sn为等差数列{an}的前n项和,a12=-8,S9=-9,则S16=________.

1、已知数列{an }的前n项和为Sn,a1=1,an≠0,anan+1=λSn-1,其中λ为常数.
(1)证明:an+2-an=λ;
(2)是否存在λ,使得{an }为等差数列?并说明理由.

2、规律方法:(1)判断等差数列的解答题,常用定义法和等差中项法,而通项公式法和前n项和公式法主要适用于选择题、填空题中的简单判断.
(2)用定义证明等差数列时,常采用两个式子an+1-an=d和an-an-1=d,但它们的意义不同,后者必须加上“n≥2”,否则n=1时,a0无定义.
1、(2016·高考全国卷乙)已知等差数列{an}前9项的和为27,a10=8,则a100=( )
A.100 B.99
C.98 D.97

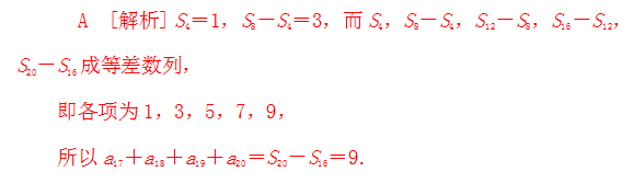
2、在等差数列{an}中,若S4=1,S8=4,则a17+a18+a19+a20的值为( )
A.9 B.12
C.16 D.17

1、在等差数列{an}中,S10=100,S100=10,则S110=________.


2、方法归纳:(1)法一是利用等差数列的前n项和公式求解基本量,然后求和,是等差数列运算问题的常规思路.而法二、法三都突出了整体代换,分别把a1+2(110-1)d、a11+a100看成一个整体,解起来都很方便.
(2)整体代换是一种重要的解题方法和技巧,这就要求学生要熟练掌握公式,理解其结构特征
3、好了,今天老师就分享到这里了,同学们对于等差数列解题方法都掌握了吗?本文章是根据等差数列解题讲解,或者需要解题技巧方法可以给老师留言,同时老师以后继续给大家分享关于章节知识点技巧和干货习题和视频。希望大家持续关注,欢迎大家在评论区留言,关于某章节知识点需要老师分享可以留言给老师。