小度生活
首页
美食营养
手工爱好
生活家居
返回
小度生活
首页
美食营养
游戏数码
手工爱好
生活家居
健康养生
运动户外
职场理财
情感交际
母婴教育
时尚美容
知识问答
生活知识
搜索
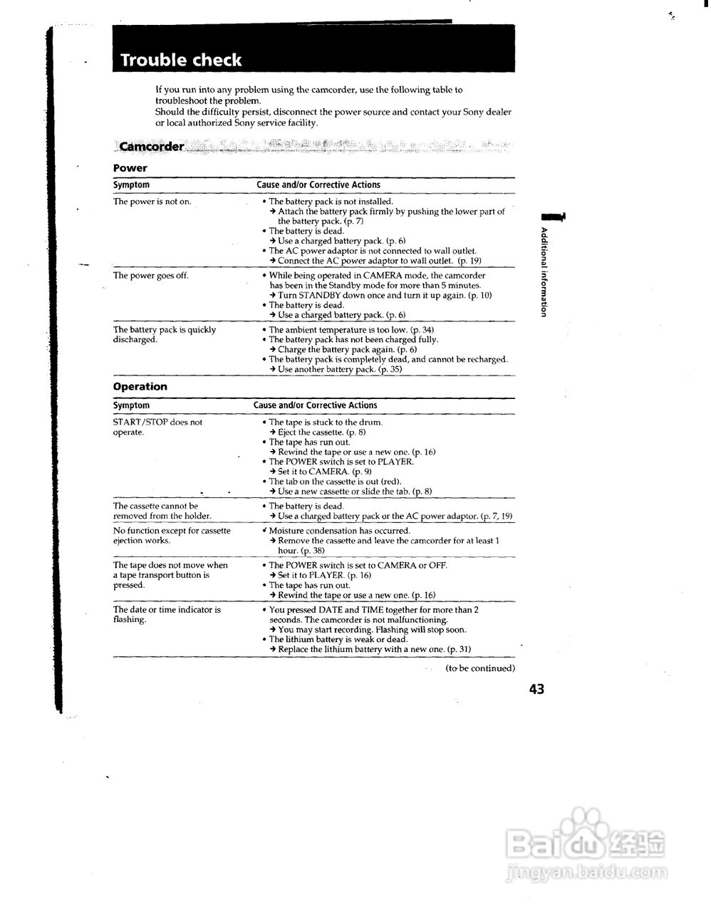
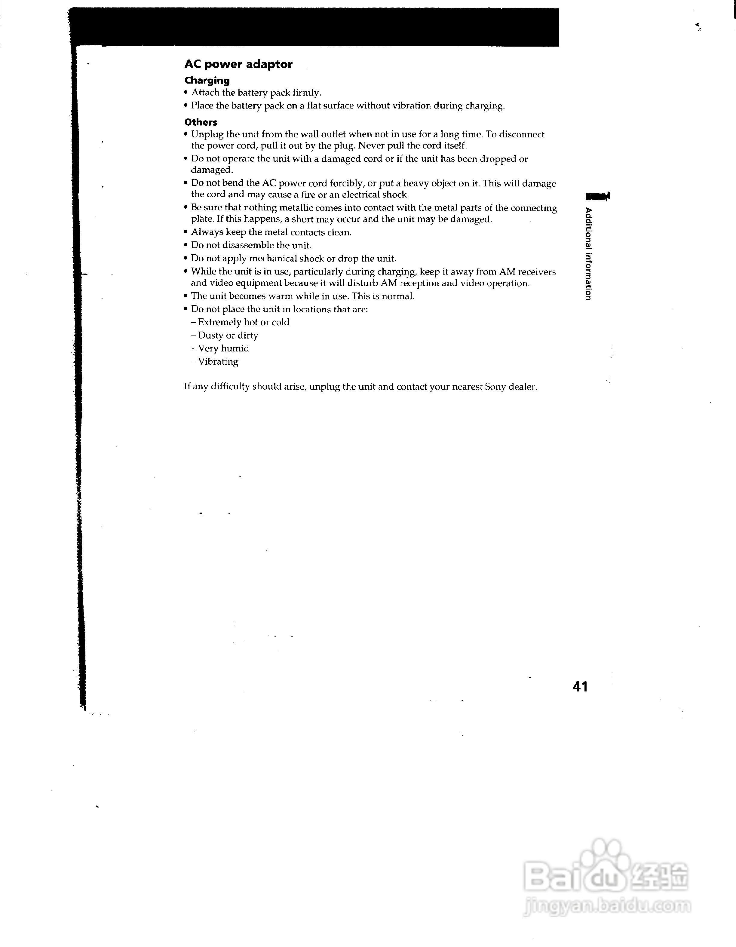
索尼CCD-TRV112模拟摄像机说明书:[5]
2026-01-28 11:37:51
本篇为《索尼CCD-TRV112模拟摄像机说明书》,主要介绍该产品的使用方法以及常见故障解决方案。
(共篇)
上一篇:
|
下一篇:
声明:
本网站引用、摘录或转载内容仅供网站访问者交流或参考,不代表本站立场,如存在版权或非法内容,请联系站长删除,联系邮箱:site.kefu@qq.com。
相关推荐
索尼CCD-TRV112模拟摄像机说明书:[6]
阅读量:124
索尼CCD-TRV101模拟摄像机说明书:[5]
阅读量:88
索尼CCD-TRV101模拟摄像机说明书:[12]
阅读量:119
索尼CCD-TRV101模拟摄像机说明书:[3]
阅读量:39
索尼CCD-TRV101模拟摄像机说明书:[8]
阅读量:71
猜你喜欢
words是什么意思
劳务派遣是什么意思
什么的爱
什么是越位
什么车省油
qq申诉成功凭证是什么
lpr是什么意思
233什么意思
燃气灶什么牌子好
峰值是什么意思
猜你喜欢
hc是什么意思
sat是什么
users是什么意思
疑惑的近义词是什么
227是什么意思
star什么意思
锐利的反义词是什么
cnmb是什么意思
什么的梅花
黑眼圈严重是身体上什么原因引起的