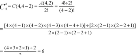
c54应该怎么算
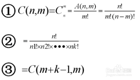
1、这样排列室友两种定义的,不过计算方法是只有一种的,凡是符合这两种定义的都用这种方法计算。前提条件是m≦n,m与n均为自然数。

2、我们从n个不同元素里,任意取m个元素按照一定的顺序排成一列,这就叫做从n个不同的元素中取出m个元素的一个排列。

3、从n个不同元素中,取出m个元素的所有排列的个数,这个就叫做从n个不同元素中取出m个元素的排列数。

4、如果我们用具体的例子来理解一下上面的定义:4种颜色按不同的颜色进行排列,有多少种排列方法,如果是6种颜色呢。如果从6种颜色中取出4种进行排列呢。

5、解:A(4,4)=4x(4-1)x(4-2)x(4-3)x(4-4+1)=4x1x2x3x1=24;A(6,6)=6x5x4x3x2x1=720;A(6,4)=6!/(6-4)!=(6x5x4x3x2x1)/2=360。

1、1.我们看了很多对排列组合的介绍,只有定义与公式,这就完全是程序化的说明,发现自己理解起来特别的吃力。
2.从n个不同元素里,任意取m个元素按照一定的顺序排成一列,这就叫做从n个不同元素中取出m个元素的一个排列。
3.像这样排列有两种定义,不过计算方法是只有一种的。
声明:本网站引用、摘录或转载内容仅供网站访问者交流或参考,不代表本站立场,如存在版权或非法内容,请联系站长删除,联系邮箱:site.kefu@qq.com。