软件测试用例设计方法有哪些
1、等价类
等价类概念:在所有测试的数据中,具有某种共同特征的数据子集。
分类:有效等价类,无效等价类

2、等价类划分的规则:

3、等价类测试的步骤:
(1)分析需求,确定输入数据类型
(2)使用规则划分有效和无效等价类
(3)设计用例,覆盖有效等价类(注意:一条用例尽可能覆盖多的有效等价类)
(4)设计用例,覆盖无效等价类(注意:一条用例只能覆盖一个无效等价类)
案例:固定电话号码的测试(3/4位地区码和7/8位电话号码)


4、边界值分析方法
大量的错误都是发生在输入或输出范围的边界上,而不是在输入范围的内部。要选取正好等于、刚刚好大于或刚刚好小于边界值作为测试数据。是对等价类划分方法的补充。
题目:输入的参数必须大于等于0同时小于等于100的整数正确代码:num>-1 || num>=0 num<101||num<=100错误代码:num>=-1 ||num>0 num<=101||num<100
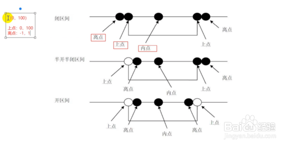
上点、离点、内点

5、闭区间、半开半闭区间、开区间
边界值分析的步骤
(1)分析需求,确定输入数据类型
(2)使用规则划分有效和无效等价类
(3)确认上点、离点、内点
(4)(5)和之前的等价类划分是一样的
案例:固定电话号码测试
判定表法
使用等价类方法时,对于输入域及输入域存在关联时无法覆盖。
例如:移动通信中,如果用户欠费或停机则不允许主被叫。(吧欠费和停机两种情况进行组合)
相关概念:
(1)条件桩:所有输入。(案例中的是否欠费和是否停机)
(2)动作桩:被测对象可能采取的操作/表现
(3)条件项:案例中成功或失败的所有可能取值的组合
(4)动作项:每一种组合都有一种对应的值的结果
(5)规则:每一列都代表了一种规则,每一列都对应了一条用例。


6、测试用例的设计步骤:
(1)分析需求,定义条件桩与动作桩
(2)设计优化判定表,得到条件项(全组合)
(3)根据条件项,依次填写动作项
(4)简化判定表,看是否可以合并
(5)抽取用例(每一个规则都代表了一个用例)
案例:支付宝个人账户注册--验证用户名需求

7、因果图方法:是对判定表方法的改进
1.考虑所有输入、输出条件的相互制约关系以及组合关系2.考虑输入条件之间的依赖关系3.根据分析的关系来转换判定表的规则

8、条件与结果之间的关系:恒等、非、或、与
条件与条件之间的关系:互斥、包含(至少有一个必须成立)、屏蔽、唯一(有且只能有一个成立)、要求
与判定表的区别:
(1)判定表分析条件桩与动作桩后,全组合获取条件项
(2)因果图分析因和国之后,先考虑条件与条件之间的关系,条件与结果之间的关系,再转换为判定表
案例(和上面的判定表法是一样的)
