小度生活
首页
美食营养
手工爱好
生活家居
返回
小度生活
首页
美食营养
游戏数码
手工爱好
生活家居
健康养生
运动户外
职场理财
情感交际
母婴教育
时尚美容
知识问答
生活知识
搜索
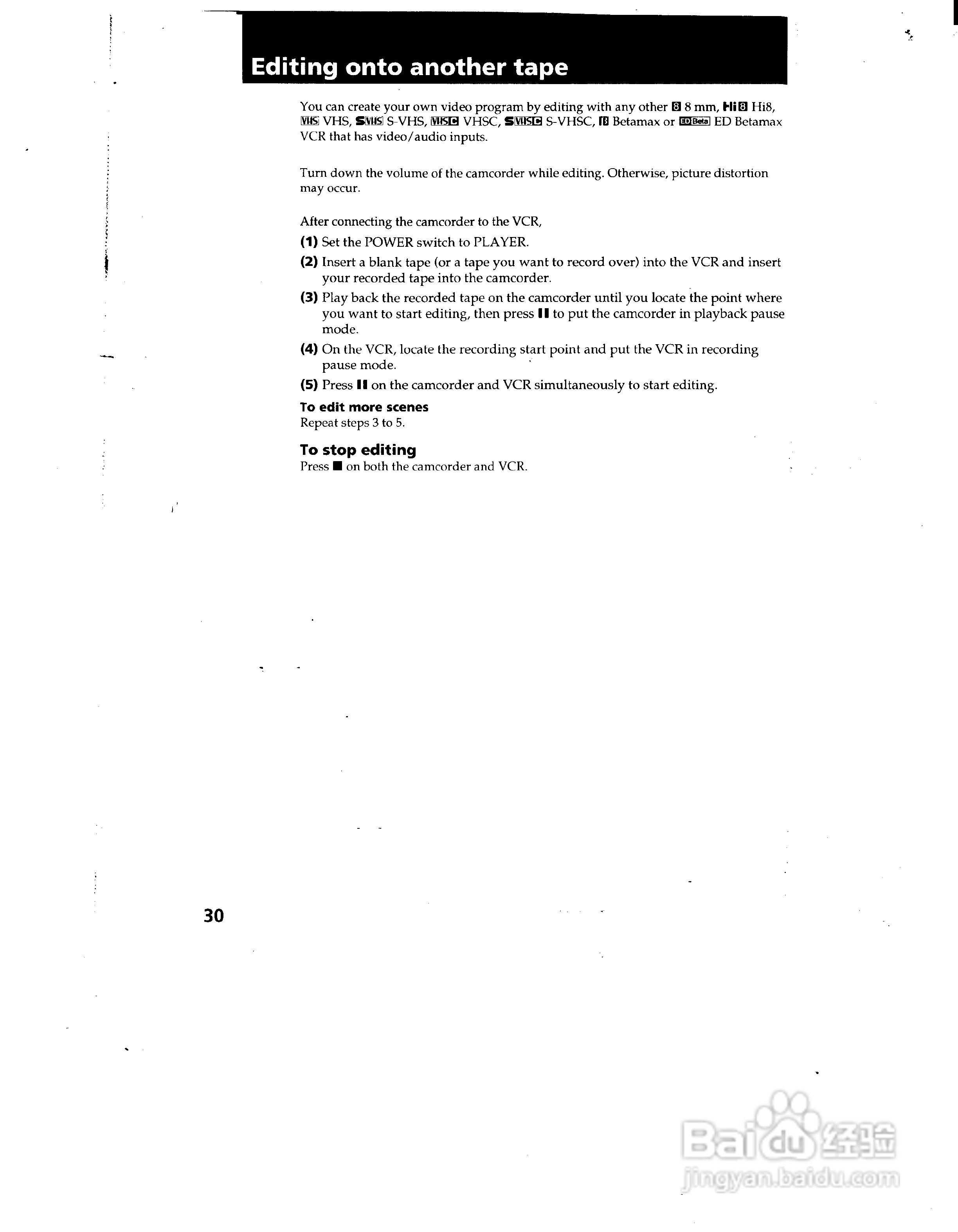
索尼CCD-TRV212模拟摄像机说明书:[3]
2025-10-05 17:30:39
本篇为《索尼CCD-TRV212模拟摄像机说明书》,主要介绍该产品的使用方法以及常见故障解决方案。
(共篇)
上一篇:
|
下一篇:
声明:
本网站引用、摘录或转载内容仅供网站访问者交流或参考,不代表本站立场,如存在版权或非法内容,请联系站长删除,联系邮箱:site.kefu@qq.com。
相关推荐
索尼CCD-TRV212模拟摄像机说明书:[2]
阅读量:63
索尼CCD-TRV211模拟摄像机说明书:[2]
阅读量:180
索尼CCD-TRV211模拟摄像机说明书:[6]
阅读量:38
模拟摄像机和网络监控摄像机画面嵌入网页直播
阅读量:196
索尼CCD-TRV211模拟摄像机说明书:[5]
阅读量:161
猜你喜欢
surprised是什么意思
纠纷的意思
马后炮的意思
doubt是什么意思
互联网+是什么意思
以儆效尤的意思
什么粤语歌好听
戈壁的意思
可见一斑的意思
祝福信息
猜你喜欢
厦门什么时候去最好
家庭教师第二季什么时候出
云南什么季节去最好
堂客是什么意思
如虎添翼的意思
再生的意思
大义凛然是什么意思
隔尿垫什么牌子好
proud是什么意思
有什么好看的小说玄幻