Ln(1+1\x)求导怎么做啊
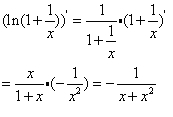
解题过程如下图:

扩展资料
导数的求导法则
由基本函数的和、差、积、商或相互复合构成的函数的导函数则可以通过函数的求导法则来推导。基本的求导法则如下:
1、求导的线性:对函数的线性组合求导,等于先对其中每个部分求导后再取线性组合(即①式)。
2、两个函数的乘积的导函数:一导乘二+一乘二导(即②式)。
3、两个函数的商的导函数也是一个分式:(子导乘母-子乘母导)除以母平方(即③式)。
4、如果有复合函数,则用链式法则求导。
声明:本网站引用、摘录或转载内容仅供网站访问者交流或参考,不代表本站立场,如存在版权或非法内容,请联系站长删除,联系邮箱:site.kefu@qq.com。
阅读量:178
阅读量:141
阅读量:182
阅读量:80
阅读量:103