小度生活
首页
美食营养
手工爱好
生活家居
返回
小度生活
首页
美食营养
游戏数码
手工爱好
生活家居
健康养生
运动户外
职场理财
情感交际
母婴教育
时尚美容
知识问答
生活知识
搜索
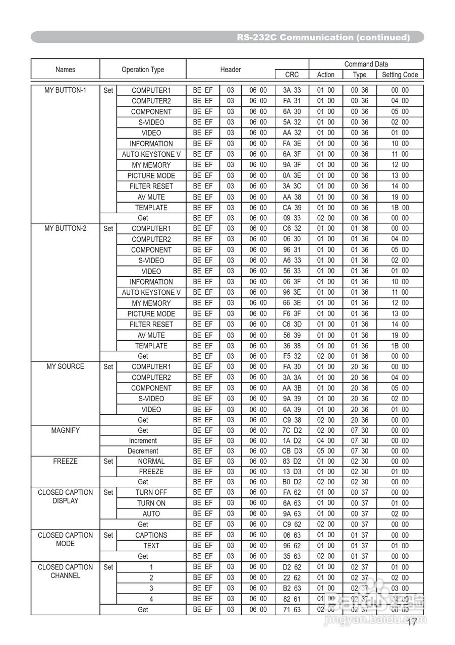
日立CP-X201投影机使用说明书:[11]
2026-02-26 17:45:28
本篇为《日立CP-X201投影机使用说明书》,主要介绍该产品的使用方法以及常见故障解决方案。
(共篇)
上一篇:
声明:
本网站引用、摘录或转载内容仅供网站访问者交流或参考,不代表本站立场,如存在版权或非法内容,请联系站长删除,联系邮箱:site.kefu@qq.com。
相关推荐
日立CP-X201投影机使用说明书:[10]
阅读量:133
日立CP-X201投影机使用说明书:[4]
阅读量:41
日立 CP-X265投影机说明书:[11]
阅读量:78
日立 CP-X268A投影机说明书:[11]
阅读量:124
使用说明书封面怎么做
阅读量:169
猜你喜欢
360怎么看电脑配置
标致508怎么样
黄山旅游地图
立邦漆怎么样
ipad air怎么样
桂林旅游股票
棋牌游戏可以提现的
怎么上传图片
全景旅游
绝地求生怎么购买
猜你喜欢
排比句的特点
厦门有哪些旅游景点
凉拌莴笋的做法
山东临沂旅游景点大全
湖南旅游十大必去景区
松山湖旅游攻略
私人定制旅游
360压缩怎么用
颈纹深怎么办
中考分数怎么查