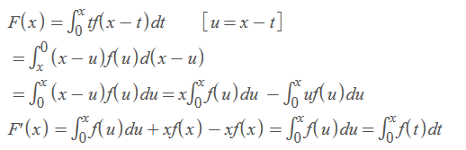
(x-t)f(t)dt从0到x的积分的导是什么
如图所示:

求导是数学计算中的一个计算方法,它的定义就是,当自变量的增量趋于零时,因变量的增量与自变量的增量之商的极限。在一个函数存在导数时,称这个函数可导或者可微分。可导的函数一定连续。不连续的函数一定不可导。
基本求导公式:
给出自变量增量

得出函数增量

作商

求极限

扩展资料:
函数

导数公式:
1.C'=0(C为常数);
2.(Xn)'=nX(n-1) (n∈R);
3.(sinX)'=cosX;
4.(cosX)'=-sinX;
5.(aX)'=aXIna (ln为自然对数);
6.(logaX)'=(1/X)logae=1/(Xlna) (a>0,且a≠1);
7.(tanX)'=1/(cosX)2=(secX)2
8.(cotX)'=-1/(sinX)2=-(cscX)2
9.(secX)'=tanX secX;
10.(cscX)'=-cotX cscX;
参考资料:百度百科——求导
声明:本网站引用、摘录或转载内容仅供网站访问者交流或参考,不代表本站立场,如存在版权或非法内容,请联系站长删除,联系邮箱:site.kefu@qq.com。