小度生活
首页
美食营养
手工爱好
生活家居
返回
小度生活
首页
美食营养
游戏数码
手工爱好
生活家居
健康养生
运动户外
职场理财
情感交际
母婴教育
时尚美容
知识问答
搜索
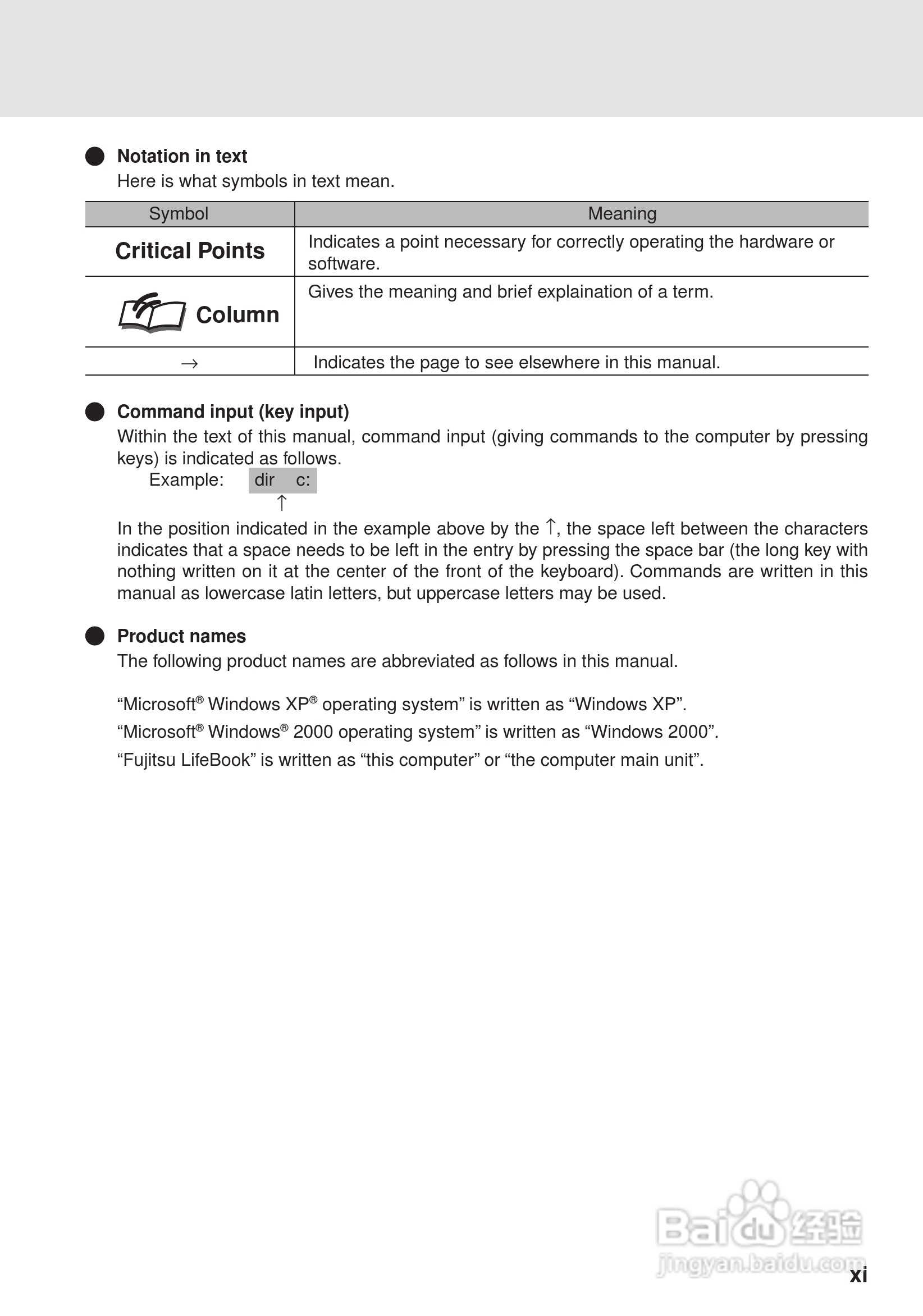
富士通笔记本C2220型使用说明书:[2]
2025-11-17 14:39:36
本篇为《富士通笔记本C2220型使用说明书》,主要介绍该产品的使用方法以及常见故障解决方案。
(共篇)
上一篇:
|
下一篇:
声明:
本网站引用、摘录或转载内容仅供网站访问者交流或参考,不代表本站立场,如存在版权或非法内容,请联系站长删除,联系邮箱:site.kefu@qq.com。
相关推荐
富士通笔记本C2220型使用说明书:[12]
阅读量:187
富士通笔记本C2110型使用说明书:[2]
阅读量:25
富士通笔记本E4010型使用说明书:[2]
阅读量:51
富士通笔记本拆机教程
阅读量:24
怎样处理“error C2220: warning trea...”错误
阅读量:128
猜你喜欢
spv是什么意思
龙抬头是什么意思
去澳大利亚买什么好
朋友祝福语
往事如烟的意思
诟病的意思
我的世界豹猫有什么用
broken是什么意思
顺其自然的意思
杏色适合什么肤色
猜你喜欢
祝福老师的祝福语
祝福宝宝的话
逝者如斯夫不舍昼夜的意思
skype是什么意思
完好无缺的意思
stem是什么意思
php文件用什么打开
什么股票值得买
棚户区是什么意思
畏首畏尾的意思