小度生活
首页
美食营养
手工爱好
生活家居
返回
小度生活
首页
美食营养
游戏数码
手工爱好
生活家居
健康养生
运动户外
职场理财
情感交际
母婴教育
时尚美容
知识问答
生活知识
生活百科
搜索
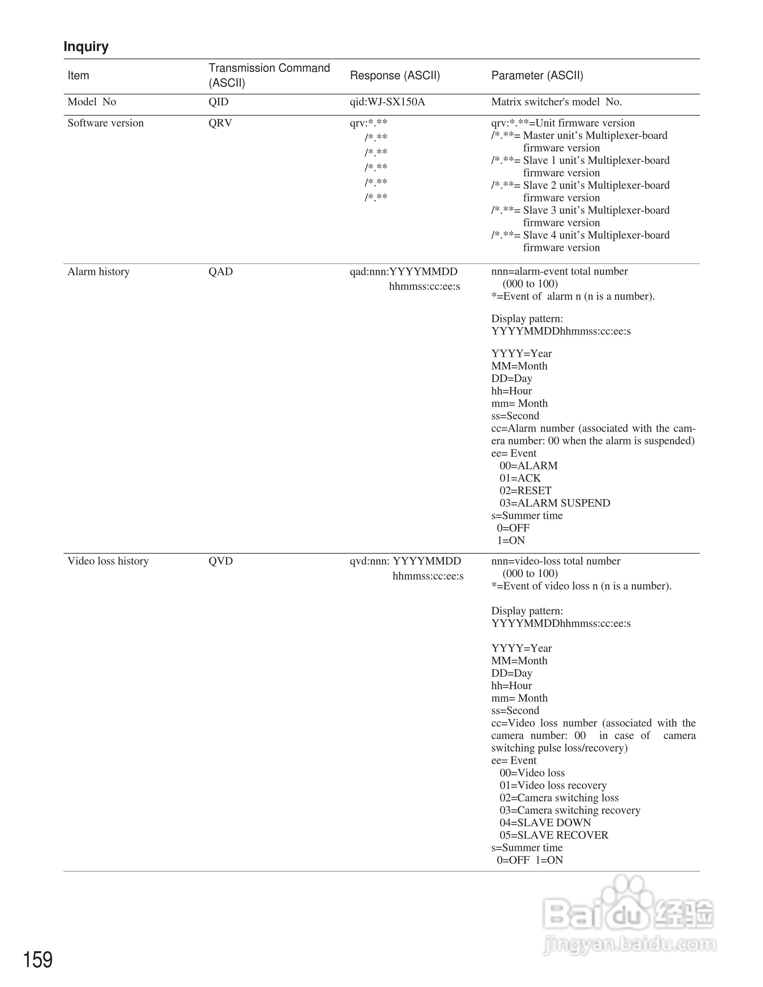
松下WJ-SX150A矩阵切换器使用说明书:[16]
2026-03-29 02:05:52
本篇为《松下WJ-SX150A矩阵切换器使用说明书》,主要介绍该产品的使用方法以及常见故障解决方案。
(共篇)
上一篇:
|
下一篇:
声明:
本网站引用、摘录或转载内容仅供网站访问者交流或参考,不代表本站立场,如存在版权或非法内容,请联系站长删除,联系邮箱:site.kefu@qq.com。
相关推荐
松下WJ-SX150A矩阵切换器使用说明书:[18]
阅读量:99
松下WJ-SX150A矩阵切换器使用说明书:[10]
阅读量:158
松下WJ-SX155矩阵切换器使用说明书:[6]
阅读量:57
松下摄像机使用教程
阅读量:189
松下双开双控接线方法
阅读量:43
猜你喜欢
田螺的血是什么颜色
speech是什么意思
残疾证有什么补贴
微笑是什么
我运动我健康作文
负荆请罪的负是什么意思
王者荣耀周年庆是什么时候
微信运动刷步数
打印发票用什么打印机
三个龙是什么字
猜你喜欢
什么是原始股
情调是什么意思
kimi是什么意思
维生素b12功能与作用
equipment是什么意思
初中运动会作文
1960年是什么命
板楼是什么意思
含苞欲放是什么意思
express是什么意思