Origin如何添加新图层
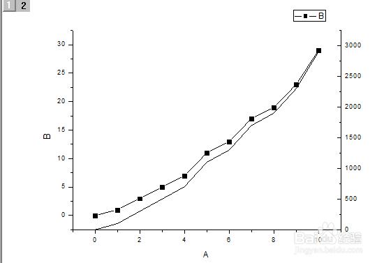
1、如下斤爷伐图数据表,若直接plot>plot line+symbol很容易将较小蕉联数怕酱据变化趋势掩盖,因此不能用一个标尺


1、全部选中数据表

2、执行plot>mutil-curve>double-Y命令,绘制图线

3、双击对应轴线进行轴线刻度等设置

1、首先选中X和第一列Y数据,绘制左单轴


2、右击空白处,新建图层


3、选中图层2,在图层2缩率按钮处右击,选中layer contents

4、添加右轴Y数据表至右侧,并OK

5、双轴图绘制完毕。双击相应区域可进行设置

声明:本网站引用、摘录或转载内容仅供网站访问者交流或参考,不代表本站立场,如存在版权或非法内容,请联系站长删除,联系邮箱:site.kefu@qq.com。
阅读量:193
阅读量:29
阅读量:30
阅读量:157
阅读量:95