后方交会(方向后方交会)怎么计算?
1、后方交会的定义
自欲求点上,观测三已知坐标三角点之水平角,以推算欲求点之坐标位置,称之
为后方交会法。
如图所示,A、B、M为三个已知点,点P为欲测点,α、β为使用仪器观测出的水平角。我们可以根据三个已知点坐标及两个观察角计算出点P的坐标。

2、后方交会的计算
后方交会的计算存在很多种方法。
如解析圆法,推导公式比较清晰,但需要观测三个水平角。
如博克哈法,须假设某一虚拟角,但只需观测两个水平角。


3、以某一种计算方法为例,简述一下后方交会中的计算步骤。
计算步骤1——
如图所示,观测三个方向角 PA、PB、PC。根据这三个方向角计算如下六个变量


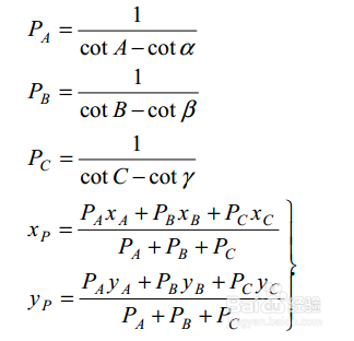
4、计算步骤2——
解析P点的坐标

5、计算步骤3——
通过坐标反算求得P点至三个已知点A、B、C的坐标方位角,然后用图中等式做检验计算。

6、注意危险圆
当P、A、B、C四点共圆时,根据圆的性质,P点无论在何处,α和β的值都是由这个圆而确定的固定值,即P点是一个不定解,这就是后方交会的危险圆。
所以,在后方交会时,一定要使P点远离危险圆。

7、我们可以借助趁手的软件计算测角交会。
打开《工程测量大师》App,依次进入交会定点——后方交会1或者后方交会2。
其中,“后方交会1”使用的方法类似于上文所提到的计算步骤,推导过程比较清晰,但是需要分别观测PA、PB、PC三个方向的方位角。
“后方交会2”采用的是博克哈法,须假设一虚拟角,但只需要观测两个水平角。

8、以“后方交会1”为例,直接利用《工程测量大师》进行后方交会的计算。
如图所示,输入已知点坐标和三个方位角。
注意:此处由于推导公式的不同,三个方位角是以图中虚线主轴逆时针旋转所得到的角度。且A、B、C三点应按顺时针方向排列。



9、点击计算按钮,即可得到待求点坐标。

10、我们再以“后方交会2”为例,直接利用《工程测量大师》进行后方交会的计算。
注意:AMP三点和MBP三点分别构成两个三角形,这两个三点都必须以逆时针方向排列。



11、点击计算,可得到计算结果。
计算结果中,γ为∠AMB与点P所形成的四边形中的内角。

12、《工程测量大师》其他功能
《工程测量大师》App是一款供测量人员使用的软件,包含了坐标正反算、水准计算、控制测量导线平差、交会定点等众多功能。
同时还可以保存数据,记录下您的计算结果。
