数字信号处理中如何用幂级数法求z变换的逆变换
1、由z变换的定义式可知,如果见X(z)表示成幂级数的形式,将序列x(n)提取出来就完成了逆变换。

2、①可以用现有的幂级数将X(z)展开,就可以求得x(n)
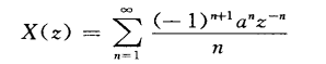
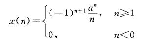
例如:下图的X(z):

3、利用ln(1+x)的幂级数展开,可以展开成下列形式:

4、根据收敛域,我们可以看出收敛域为一个圆的外部区域,所以原序列为右边序列,我们将其展开为负幂级数即可,(n>=1),再将x(n)提取出来。

1、②对于有理函数,我们可以用长除法将X(z)展开成幂级数
注意:先根据收敛域确定是右边序列还是左边序列
若是右边序列,长除法时将被除数与除数降幂排列,展开为负幂级数
若是左边序列,长除法时将被除数与除数升幂排列,展开为正幂级数
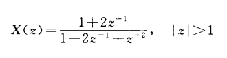
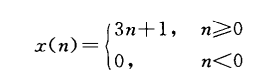
2、(右边序列)例如下图的X(z):

3、收敛域是一个圆的外部,对应序列为右边序列;
又判断z趋近于无穷的时候,X(z)趋近于1,是一个有限值,所以是因果序列;
长除法时应降幂排列:

4、这时z的幂级数前的序数为1,4,7... 结合第一项是常数项,n大于等于0,所以规律是3n+1(n>=0),将结果写出:

1、(左边序列)例如下图的X(z):

2、收敛域是一个圆的内部,对应序列为左边序列;
又判断z趋近于0的时候,X(z)趋近于0,是一个有限值,所以是逆因果序列;
长除法时应升幂排列:

3、这时z的幂级数前的序数为2,5,8... 结合第一项是z的1次幂,n小于等于-1,所以规律是 -3n-1(n<=-1),将结果写出:

声明:本网站引用、摘录或转载内容仅供网站访问者交流或参考,不代表本站立场,如存在版权或非法内容,请联系站长删除,联系邮箱:site.kefu@qq.com。
阅读量:176
阅读量:48
阅读量:20
阅读量:182
阅读量:120