1/x8(1+x2)的不定积分
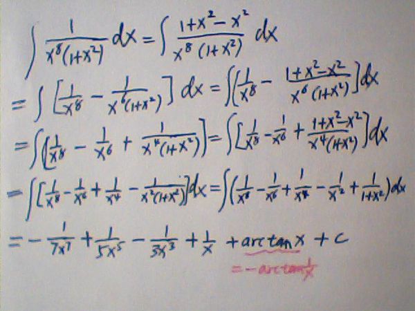
具体回答如图所示:

求函数f(x)的不定积分,就是要求出f(x)的所有的原函数,由原函数的性质可知,只要求出函数f(x)的一个原函数,再加上任意的常数C就得到函数f(x)的不定积分。
扩展资料:
连续函数,一定存在定积分和不定积分;若在有限区间[a,b]上只有有限个间断点且函数有界,则定积分存在;若有跳跃、可去、无穷间断点,则原函数一定不存在,即不定积分一定不存在。
如果F(x)是f(x)在区间I上的一个原函数,那么F(x)+C就是f(x)的不定积分,即∫f(x)dx=F(x)+C。因而不定积分∫f(x) dx可以表示f(x)的任意一个原函数。
若f(x)在[a,b]上恒为正,可以将定积分理解为在Oxy坐标平面上,由曲线(x,f(x))、直线x=a、x=b以及x轴围成的面积值(一种确定的实数值)。
积分是线性的。如果一个函数f 可积,那么它乘以一个常数后仍然可积。如果函数f和g可积,那么它们的和与差也可积。
参考资料来源:百度百科——不定积分
声明:本网站引用、摘录或转载内容仅供网站访问者交流或参考,不代表本站立场,如存在版权或非法内容,请联系站长删除,联系邮箱:site.kefu@qq.com。
阅读量:52
阅读量:107
阅读量:114
阅读量:133
阅读量:124