MATLAB空间网格图教程
1、 MATLAB绘制空间网格图:
使用的命令为mesh命令,同时可以使用help mesh 或者doc mesh 查看mesh命令的相关说明以及例子。


2、mesh常用的命令格式:
mesh(x,y,z)根据行数和列数相等的二维数组绘制空间网格图,mesh主要用于绘制二元函数的曲面图形。
注意:如果x,y 为一维数组可以使用meshgrid命令生成二维数组。
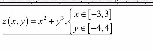
3、示例图如下图一,代码图如下图二,结果图如下图三。



1、MATLAB绘制空间网面图:
使用的命令为surf 命令,同时可以使用help或者doc命令查看surf命令的帮助文档。


2、常用的命令格式:
surf(x,y,z)根据行数和列数相等的二维数组绘制空间网面图,与mash类似,surf主要用于绘制二元函数的曲面图形。
3、示例图如下图一,代码图如下图二,结果图如下图三。



声明:本网站引用、摘录或转载内容仅供网站访问者交流或参考,不代表本站立场,如存在版权或非法内容,请联系站长删除,联系邮箱:site.kefu@qq.com。
阅读量:47
阅读量:57
阅读量:101
阅读量:136
阅读量:119