小度生活
首页
美食营养
手工爱好
生活家居
返回
小度生活
首页
美食营养
游戏数码
手工爱好
生活家居
健康养生
运动户外
职场理财
情感交际
母婴教育
时尚美容
知识问答
生活知识
生活百科
搜索
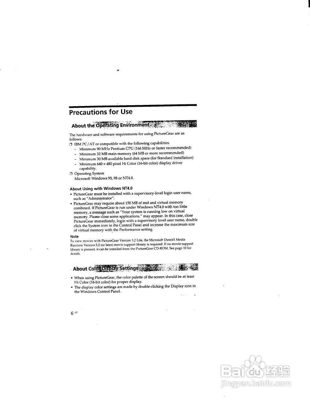
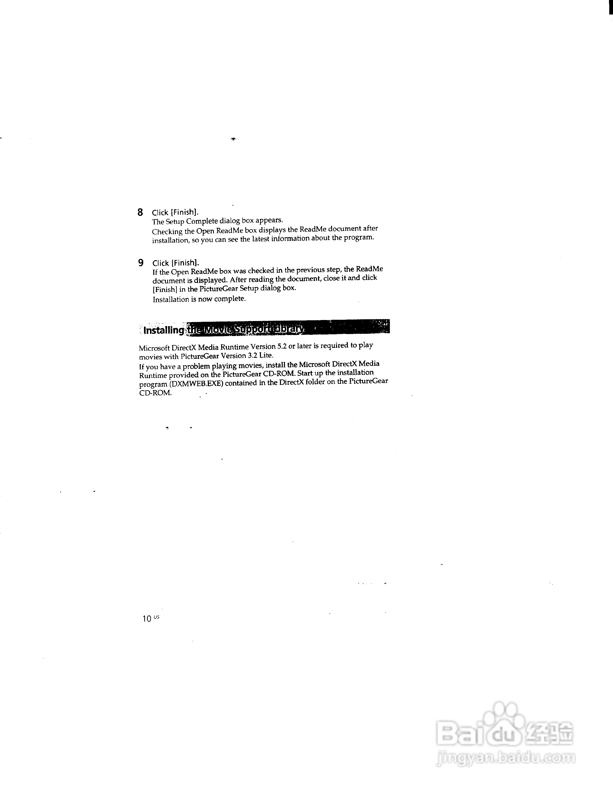
索尼DCR-TRV510数码摄像机说明书:[12]
2026-03-23 23:06:26
本篇为《索尼DCR-TRV510数码摄像机说明书》,主要介绍该产品的使用方法以及常见故障解决方案。
(共篇)
上一篇:
|
下一篇:
声明:
本网站引用、摘录或转载内容仅供网站访问者交流或参考,不代表本站立场,如存在版权或非法内容,请联系站长删除,联系邮箱:site.kefu@qq.com。
相关推荐
索尼DCR-TRV510数码摄像机说明书:[11]
阅读量:82
索尼DCR-TRV510数码摄像机说明书:[7]
阅读量:123
索尼DCR-TRV510数码摄像机说明书:[3]
阅读量:163
索尼DCR-TRV900数码摄像机说明书:[12]
阅读量:111
索尼a7r2视频拍摄如何设置
阅读量:75
猜你喜欢
屎好吃吗
豆角焖面的家常做法
深圳怎么样
窗户隔音的最佳方法
上课想睡觉怎么办
宫保鸡丁的做法家常菜
微信封号怎么解除
丰胸方法
肉丝面怎么做好吃
自我按摩壮阳方法
猜你喜欢
取样方法
鸡蛋怎么做好吃
流行歌曲大全100首
长寿花的养殖方法和注意事项
葱油面的做法大全
滴水观音的养殖方法
蟹爪兰的养殖方法和注意事项
床吻戏大全
萝卜怎么做好吃
可乐鸡翅的家常制作方法