小度生活
首页
美食营养
手工爱好
生活家居
返回
小度生活
首页
美食营养
游戏数码
手工爱好
生活家居
健康养生
运动户外
职场理财
情感交际
母婴教育
时尚美容
知识问答
生活知识
生活百科
搜索
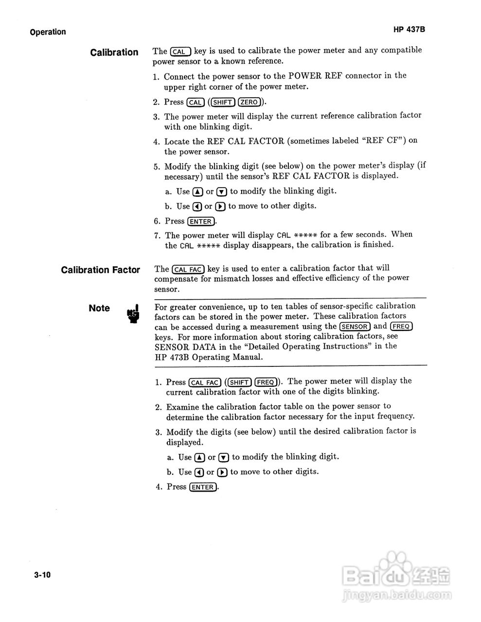
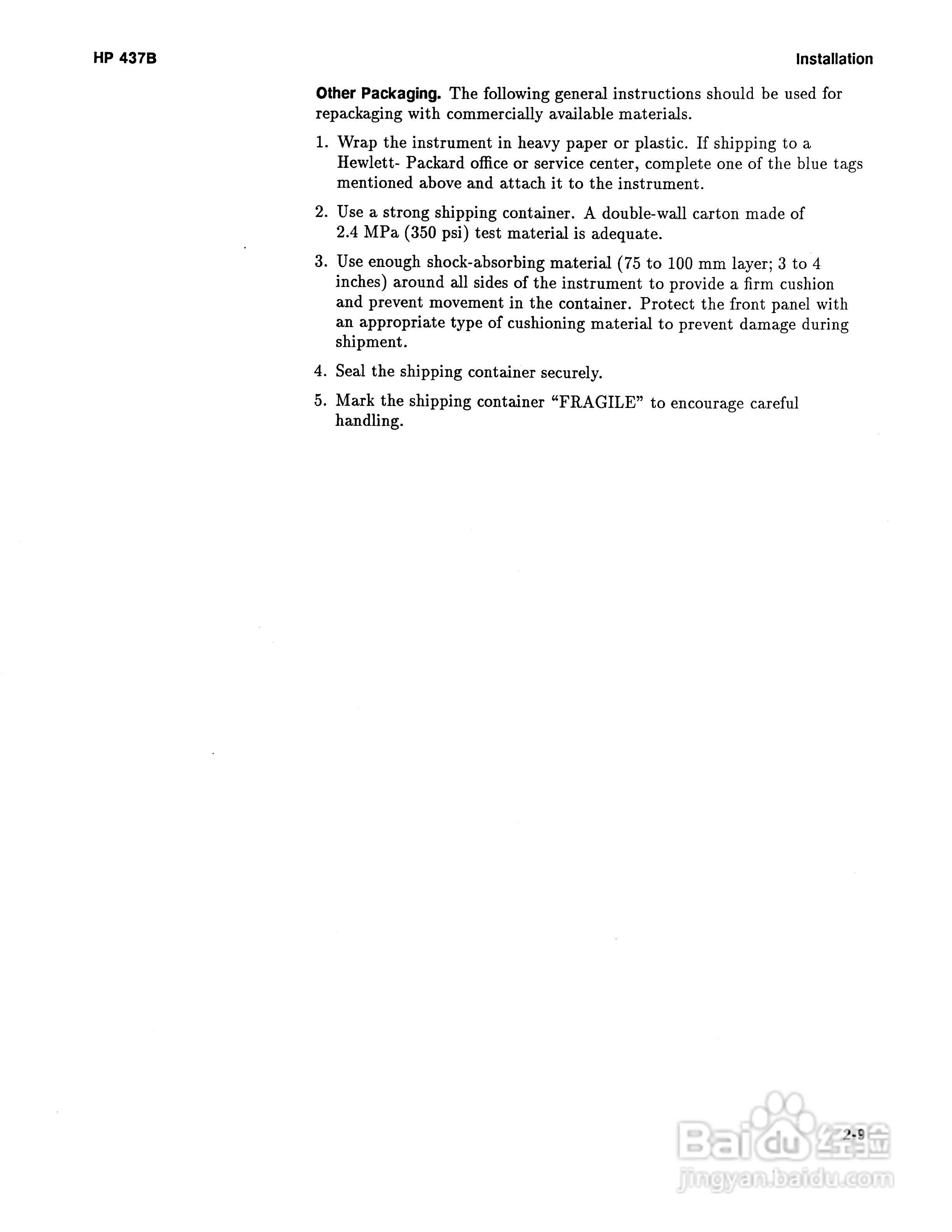
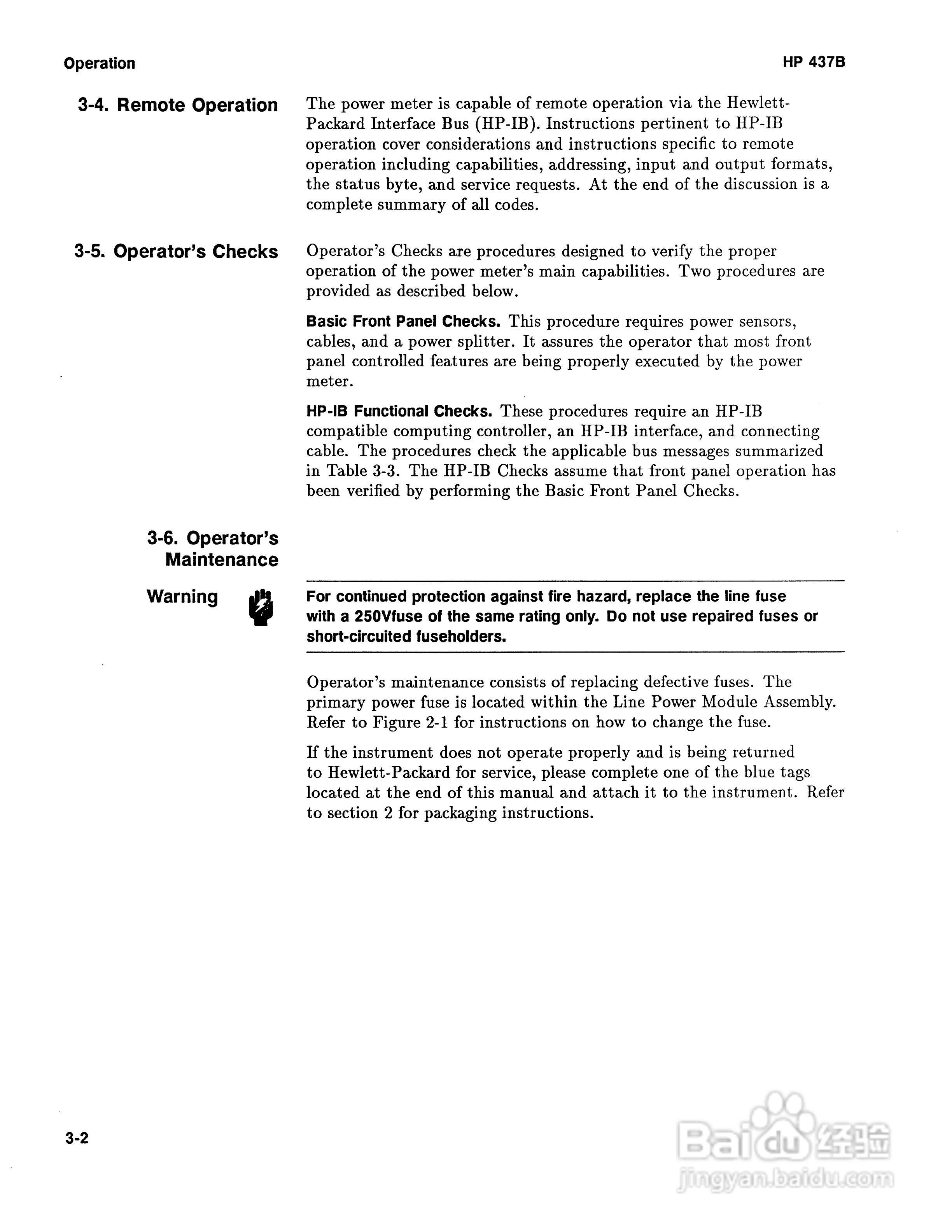
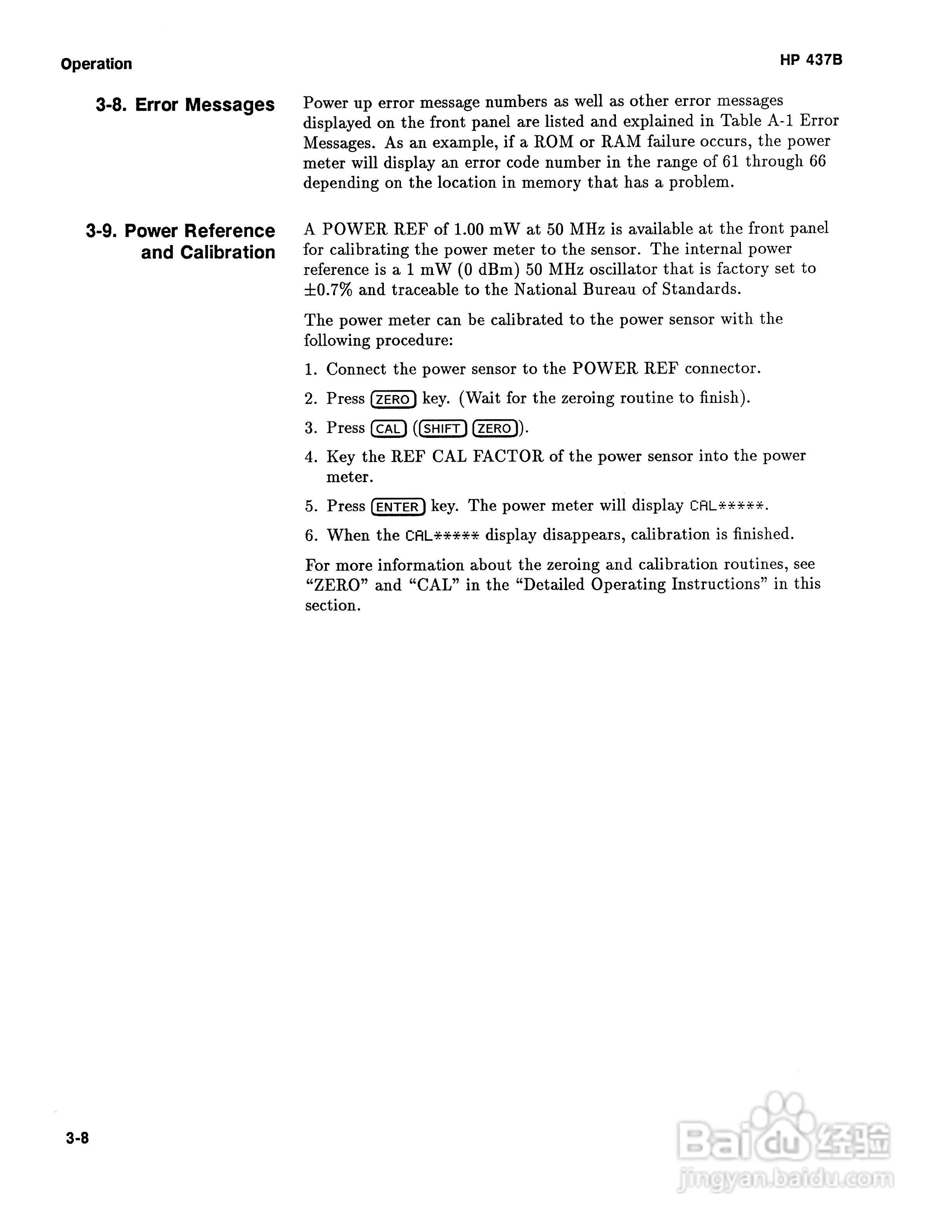
HP-437B功率计说明书:[4]
2026-03-30 17:06:15
本篇为《HP-437B功率计说明书》,主要介绍该产品的使用方法以及常见故障解决方案。
(共篇)
上一篇:
|
下一篇:
声明:
本网站引用、摘录或转载内容仅供网站访问者交流或参考,不代表本站立场,如存在版权或非法内容,请联系站长删除,联系邮箱:site.kefu@qq.com。
相关推荐
HP-437B功率计说明书:[11]
阅读量:172
HP-437B功率计说明书:[15]
阅读量:45
功率计对风能逆变器的效率测试最全操作步骤
阅读量:142
HP-437B功率计说明书:[13]
阅读量:107
HP-437B功率计说明书:[12]
阅读量:135
猜你喜欢
色彩搭配原理与技巧
高尔夫球怎么打
草原天路自驾游攻略
延禧攻略在线观看
航海王强者之路攻略
怎么养兔
减肥期间可以吃的零食
弹丸论破2攻略
苹果三日减肥法
产后多久可以减肥
猜你喜欢
鼻子流黄水怎么回事
红烧青鱼
什么运动减肥效果最好
宁夏沙坡头旅游攻略
农行信用卡怎么样
垃圾短信怎么举报
宝宝咳嗽的厉害怎么止咳最快
流氓软件怎么卸载
植物大战僵尸无尽版攻略
不吃饭能减肥吗