高中数学:求数列通项公式的十一种方法

2026-02-14 19:32:01

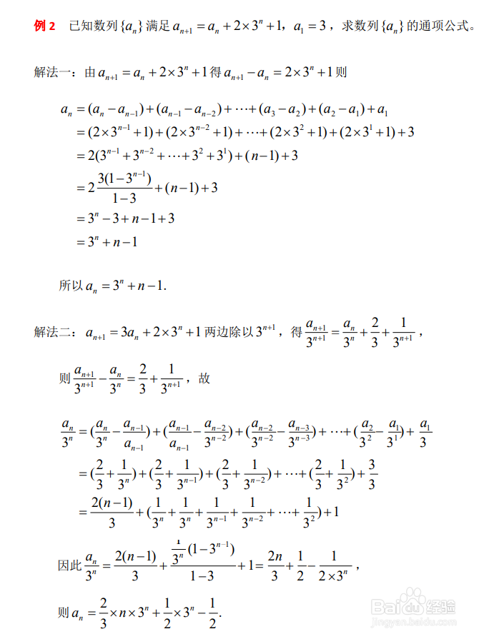
1、一接下来我们就开始数列解题——累加法

高中数学:求数列通项公式的十一种方法

2

高中数学:求数列通项公式的十一种方法

3

高中数学:求数列通项公式的十一种方法

高中数学:求数列通项公式的十一种方法

4

高中数学:求数列通项公式的十一种方法

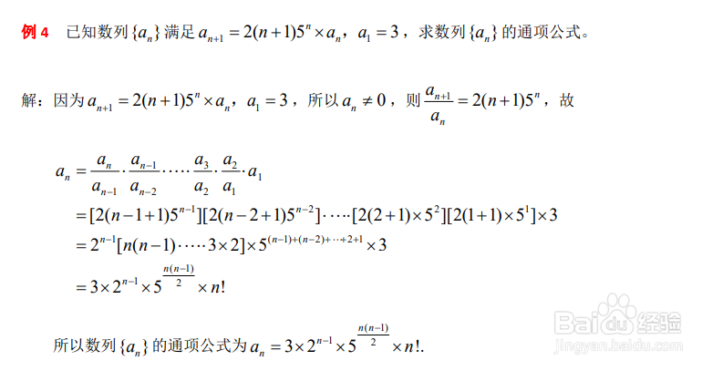
1、二、接下来我们就开始数列解题——累乘法

高中数学:求数列通项公式的十一种方法

2

高中数学:求数列通项公式的十一种方法

3

高中数学:求数列通项公式的十一种方法

1、三、接下来我们就开始数列解题——待定系数法

高中数学:求数列通项公式的十一种方法

2

高中数学:求数列通项公式的十一种方法

3

高中数学:求数列通项公式的十一种方法

4

高中数学:求数列通项公式的十一种方法

5

高中数学:求数列通项公式的十一种方法

6

高中数学:求数列通项公式的十一种方法

7

8

高中数学:求数列通项公式的十一种方法

9

高中数学:求数列通项公式的十一种方法

10、好了,今天就分享到这里。高中数学数列问题不懂可以咨询我。

声明:本网站引用、摘录或转载内容仅供网站访问者交流或参考,不代表本站立场,如存在版权或非法内容,请联系站长删除,联系邮箱:site.kefu@qq.com。
猜你喜欢