高中数学必修五:数列压轴小题秒杀技巧
1、首先来首先来看第一题:
常规解答步骤,

1

1

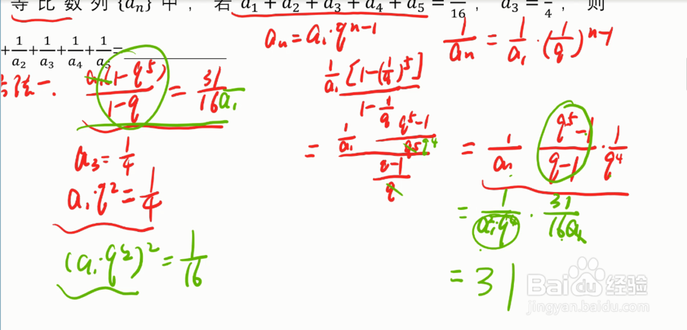
2、看第二题,来源于江苏填空题的最后一道压轴题(难度大)

1

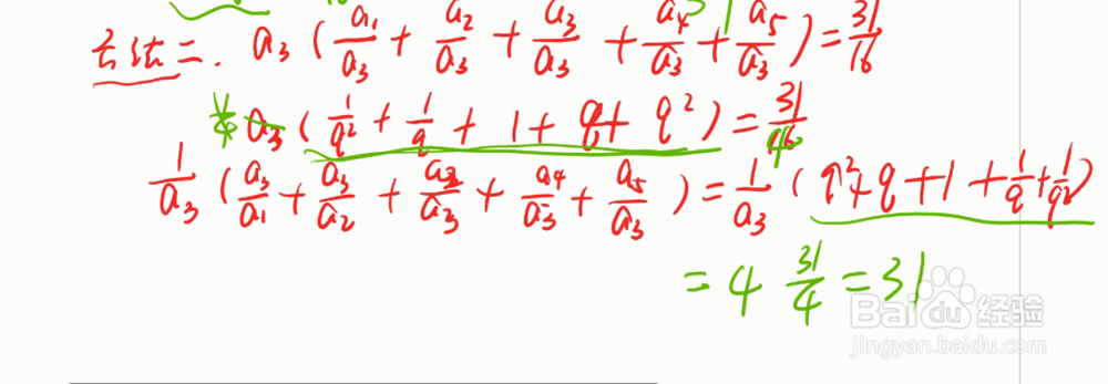
2、大家常规方法都学会了吗?下面讲解秒杀方法如何做
1

2、第二题就安排大家去做,需要你举一反三,30秒做出答案,有思路了吗?真的掌握秒杀方法了吗?
声明:本网站引用、摘录或转载内容仅供网站访问者交流或参考,不代表本站立场,如存在版权或非法内容,请联系站长删除,联系邮箱:site.kefu@qq.com。
阅读量:65
阅读量:143
阅读量:139
阅读量:130
阅读量:58